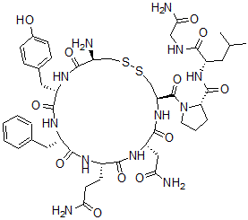
Identification
| Name |
Oxypressin |
| Synonyms |
(2S)-1-[(4R,7S,10S,13S,16S,19R)-19-Amino-7-(2-Amino-2-Oxo-Ethyl)-10-(3-Amino-3-Oxo-Propyl)-16-[(4-Hydroxyphenyl)Methyl]-6,9,12,15,18-Pentaoxo-13-(Phenylmethyl)1,2-Dithia-5,8,11,14,17-Pentazacycloicosane-4-Carbonyl]-N-[(1S)-1-[(2-Amino-2-Oxo-Ethyl)Carbamoyl]-3-Methyl-Butyl]Pyrrolidine-2-Carboxamide; (2S)-1-[[(4R,7S,10S,13S,16S,19R)-19-Amino-7-(2-Amino-2-Oxoethyl)-10-(3-Amino-3-Oxopropyl)-16-[(4-Hydroxyphenyl)Methyl]-6,9,12,15,18-Pentaoxo-13-(Phenylmethyl)-1,2-Dithia-5,8,11,14,17-Pentazacycloicos-4-Yl]-Oxomethyl]-N-[(1S)-1-[[(2-Amino-2-Oxoethyl)Amino]-Oxomethyl]-3-Methylbutyl]-2-Pyrrolidinecarboxamide; (2S)-1-[(4R,7S,10S,13S,16S,19R)-19-Amino-7-(2-Amino-2-Keto-Ethyl)-10-(3-Amino-3-Keto-Propyl)-13-(Benzyl)-16-(4-Hydroxybenzyl)-6,9,12,15,18-Pentaketo-1,2-Dithia-5,8,11,14,17-Pentazacycloicosane-4-Carbonyl]-N-[(1S)-1-[(2-Amino-2-Keto-Ethyl)Carbamoyl]-3-Methyl-Butyl]Pyrrolidine-2-Carboxamide |
|
| Molecular Structure |
 |
| Molecular Formula |
C46H64N12O12S2 |
| Molecular Weight |
1041.20 |
| CAS Registry Number |
642-35-3 |
| SMILES |
[C@H]1(NC(=O)[C@@H](NC(=O)[C@@H](N)CSSC[C@H](NC(=O)[C@@H](NC(=O)[C@@H](NC1=O)CCC(=O)N)CC(=O)N)C(=O)N2[C@H](C(=O)N[C@H](C(=O)NCC(=O)N)CC(C)C)CCC2)CC3=CC=C(O)C=C3)CC4=CC=CC=C4 |
| InChI |
1S/C46H64N12O12S2/c1-24(2)17-30(40(64)51-21-38(50)62)56-45(69)35-9-6-16-58(35)46(70)34-23-72-71-22-28(47)39(63)53-31(19-26-10-12-27(59)13-11-26)43(67)54-32(18-25-7-4-3-5-8-25)42(66)52-29(14-15-36(48)60)41(65)55-33(20-37(49)61)44(68)57-34/h3-5,7-8,10-13,24,28-35,59H,6,9,14-23,47H2,1-2H3,(H2,48,60)(H2,49,61)(H2,50,62)(H,51,64)(H,52,66)(H,53,63)(H,54,67)(H,55,65)(H,56,69)(H,57,68)/t28-,29-,30-,31-,32-,33-,34-,35-/m0/s1 |
| InChIKey |
WTHKESHUHBGMGM-DZCXQCEKSA-N |
|