Online Database of Chemicals from Around the World

碘葡胺
[CAS# 63941-74-2]

供应商
BOC Sciences 美国 询价快递  
+1 (631) 485-4226
info@bocsci.com
Skype 聊天
化学品供销商
chemBlink 集群供应商(2012 年起)
基本信息
产品名称 碘葡胺
英文名 Ioglucomide
别名 2,4,6-Triiodo-N-Methyl-3,5-Bis[[(2R,3S,4R,5R)-2,3,4,5,6-Pentahydroxy-1-Oxohexyl]Amino]Benzamide; D04576; 3,5-Bis-D-Gluconamido-2,4,6-Triiodo-N-Methylbenzamide
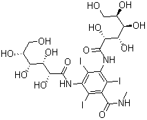
分子结构 CAS 登录号:63941-74-2, 碘葡胺
分子式 C20H28I3N3O13
分子量 899.17
CAS 登录号 63941-74-2
分子行输入简码 SMILES [C@H](O)(C(=O)NC1=C(I)C(=C(I)C(=C1I)C(=O)NC)NC(=O)[C@H](O)[C@@H](O)[C@H](O)[C@H](O)CO)[C@@H](O)[C@H](O)[C@H](O)CO
国际化学标识码 InChI 1S/C20H28I3N3O13/c1-24-18(37)6-7(21)10(25-19(38)16(35)14(33)12(31)4(29)2-27)9(23)11(8(6)22)26-20(39)17(36)15(34)13(32)5(30)3-28/h4-5,12-17,27-36H,2-3H2,1H3,(H,24,37)(H,25,38)(H,26,39)/t4-,5-,12-,13-,14+,15+,16-,17-/m1/s1
国际化学标识检索码 InChIKey ASFIRRNYUOVVLY-JVOWFEOISA-N
物理化学性质
密度 2.415g/cm3 (计算值)
沸点 1290.326°C at 760 mmHg (计算值)
闪点 734.163°C (计算值)
市场分析报告
请浏览碘葡胺市场分析报告总目录
相关产品
吗啡 N-氧化物  尼可吗啡  二碘三苯基膦烷  2-(甲硫基)-4-喹唑啉胺  1-(2,6-二甲基苯基)-2-硫脲  1,4,8,11-四氮杂环十四烷-5,7-二酮  N-(5-氯-2-甲氧基苯基)-硫脲  N-(3-氯-2-甲基苯基)-硫脲  N-(4-氯-2-甲基苯基)-硫脲  (9alpha,11alpha)-9,11-二羟基...  假椒茄素  1-[3-[3-(3-硝基苯基)-2-丙烯-1-基...  4-(1,4-二氢-2-巯基-4,4,6-三甲基)...  6-氨基-7-羟基萘-2-磺酸  八氢-4,7-甲桥-1H-茚-5-醇乙酸酯