Online Database of Chemicals from Around the World

多黏菌素 T1
[CAS# 63700-39-0]

供应商
CAS#: 63700-39-0
产品: 多黏菌素 T1
暂时没有厂家供应该产品。
基本信息
产品名称 多黏菌素 T1
英文名 Polymyxin T1
别名 N-[3-Amino-1-[[1-[[3-Amino-1-[[6,9,18-Tris(2-Aminoethyl)-3,12-Diisobutyl-2,5,8,11,14,17,20-Heptaoxo-15-(Phenylmethyl)-1,4,7,10,13,16,19-Heptazacyclotricos-21-Yl]Carbamoyl]Propyl]Carbamoyl]-2-Hydroxy-Propyl]Carbamoyl]Propyl]-6-Methyl-Octanamide; N-[3-Amino-1-[[[1-[[[3-Amino-1-[Oxo-[[6,9,18-Tris(2-Aminoethyl)-3,12-Diisobutyl-2,5,8,11,14,17,20-Heptaoxo-15-(Phenylmethyl)-1,4,7,10,13,16,19-Heptazacyclotricos-21-Yl]Amino]Methyl]Propyl]Amino]-Oxomethyl]-2-Hydroxypropyl]Amino]-Oxomethyl]Propyl]-6-Methyloctanamide; N-[3-Amino-1-[[1-[[3-Amino-1-[[6,9,18-Tris(2-Aminoethyl)-15-(Benzyl)-3,12-Diisobutyl-2,5,8,11,14,17,20-Heptaketo-1,4,7,10,13,16,19-Heptazacyclotricos-21-Yl]Carbamoyl]Propyl]Carbamoyl]-2-Hydroxy-Propyl]Carbamoyl]Propyl]-6-Methyl-Caprylamide
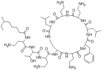
分子结构 CAS 登录号:63700-39-0, 多黏菌素 T1
分子式 C58H102N16O12
分子量 1215.54
CAS 登录号 63700-39-0
分子行输入简码 SMILES C2=C(CC1NC(=O)C(NC(=O)C(NC(=O)C(NC(=O)C(NC(=O)C(NC(=O)CCCCC(CC)C)CCN)C(O)C)CCN)CCNC(=O)C(NC(=O)C(NC(=O)C(NC(=O)C(NC1=O)CC(C)C)CCN)CCN)CC(C)C)CCN)C=CC=C2
国际化学标识码 InChI 1S/C58H102N16O12/c1-8-35(6)14-12-13-17-47(76)65-38(18-24-59)55(83)74-48(36(7)75)58(86)70-42(22-28-63)51(79)69-43-23-29-64-49(77)44(30-33(2)3)71-52(80)40(20-26-61)66-50(78)39(19-25-60)68-56(84)45(31-34(4)5)72-57(85)46(32-37-15-10-9-11-16-37)73-53(81)41(21-27-62)67-54(43)82/h9-11,15-16,33-36,38-46,48,75H,8,12-14,17-32,59-63H2,1-7H3,(H,64,77)(H,65,76)(H,66,78)(H,67,82)(H,68,84)(H,69,79)(H,70,86)(H,71,80)(H,72,85)(H,73,81)(H,74,83)
国际化学标识检索码 InChIKey IQLZHIIINCHIKY-UHFFFAOYSA-N
物理化学性质
密度 1.245g/cm3 (计算值)
沸点 1541.581°C at 760 mmHg (计算值)
闪点 886.116°C (计算值)
市场分析报告
请浏览多黏菌素 T1市场分析报告总目录
相关产品
酸性蓝 158 A  二异十二烷基萘磺酸铵  二异十二烷基萘磺酸钠  (5R,6S)-3-[[2-(乙酰氨基)乙基]硫代...  1-(2,5-二甲氧基苯基)-5-[[(4-甲氧基...  S(-)-巴氯芬盐酸盐  3-甲氧基-17-甲基吗喃-4,8alpha-二醇  N,N-二乙基-4-亚硝基邻甲苯胺  2-[(4-乙氧基苯基)偶氮]对甲酚  1-(2,5-二氯苯基)-3,4-二氢-4,4,6...  7-(1,2,3,4-四氢-4,4,6-三甲基-2...  3,4-二氢-1-(M-羟基苯基)-4,4,6-三...  3,4-二氢-1-(O-羟基苯基)-4,4,6-三...  3,4-二氢-1-(1-萘基)-4,4,6-三甲基...  3,4-二氢-1-(2-萘基)-4,4,6-三甲基...