Online Database of Chemicals from Around the World

Des-N-tetramethyltriostin A
[CAS# 63478-55-7]

供应商
CAS#: 63478-55-7
产品: Des-N-tetramethyltriostin A
暂时没有厂家供应该产品。
基本信息
产品名称 Des-N-tetramethyltriostin A
英文名 Des-N-tetramethyltriostin A
别名 N-[11,24-Dimethyl-2,5,9,12,15,18,22,25-Octaoxo-8-[[Oxo-(2-Quinoxalinyl)Methyl]Amino]-4,17-Dipropyl-6,19-Dioxa-28,29-Dithia-3,10,13,16,23,26-Hexazabicyclo[12.12.4]Triacontan-21-Yl]-2-Quinoxalinecarboxamide; N-[2,5,9,12,15,18,22,25-Octaketo-11,24-Dimethyl-4,17-Dipropyl-8-(Quinoxaline-2-Carbonylamino)-6,19-Dioxa-28,29-Dithia-3,10,13,16,23,26-Hexazabicyclo[12.12.4]Triacontan-21-Yl]Quinoxaline-2-Carboxamide; N-[11,24-Dimethyl-2,5,9,12,15,18,22,25-Octaoxo-4,17-Dipropyl-8-(Quinoxalin-2-Ylcarbonylamino)-6,19-Dioxa-28,29-Dithia-3,10,13,16,23,26-Hexazabicyclo[12.12.4]Triacontan-21-Yl]Quinoxaline-2-Carboxamide
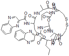
分子结构 CAS 登录号:63478-55-7, Des-N-tetramethyltriostin A
分子式 C46H54N12O12S2
分子量 1031.13
CAS 登录号 63478-55-7
分子行输入简码 SMILES C2=NC1=CC=CC=C1N=C2C(=O)NC5C(=O)NC(C(=O)NC6C(=O)NC(C(OCC(NC(=O)C4=NC3=CC=CC=C3N=C4)C(=O)NC(C(=O)NC(C(=O)NC(C(OC5)=O)CCC)CSSC6)C)=O)CCC)C
国际化学标识码 InChI 1S/C46H54N12O12S2/c1-5-11-29-45(67)69-19-33(55-39(61)31-17-47-25-13-7-9-15-27(25)51-31)41(63)49-24(4)38(60)58-36-22-72-71-21-35(43(65)53-29)57-37(59)23(3)50-42(64)34(20-70-46(68)30(12-6-2)54-44(36)66)56-40(62)32-18-48-26-14-8-10-16-28(26)52-32/h7-10,13-18,23-24,29-30,33-36H,5-6,11-12,19-22H2,1-4H3,(H,49,63)(H,50,64)(H,53,65)(H,54,66)(H,55,61)(H,56,62)(H,57,59)(H,58,60)
国际化学标识检索码 InChIKey JLZYVPLGZIDPEB-UHFFFAOYSA-N
物理化学性质
密度 1.466g/cm3 (计算值)
沸点 1539.455°C at 760 mmHg (计算值)
闪点 884.83°C (计算值)
市场分析报告
请浏览Des-N-tetramethyltriostin A市场分析报告总目录
相关产品
Doleron  4-乙烯基环己烯-1,4-二甲醛  6-氯-2-(2-氯丙基)-2,3-二氢-3-羟基...  去异丙基丙卡特罗  1-(羟基甲基)-7,8-二氧杂双环[3.2.1]...  3,3'-亚甲基二[四氢-2H-1,3-恶嗪]  (Z)-3,4-二氢-1-(2-羟基-3,4-二甲...  (1aalpha,7alpha,3beta,11b...  7,8,9,10-四氢-1,7,8,10,11-五...  2-[乙基(3-甲基-4-亚硝基苯基)氨基]-N-...  3-[(4-羟基-3-磺酸基苯基)(4-氧代-3-...  (亚异丁基)苯甲酰肼  甲醛与 4-甲基-2-壬基苯酚和 4-甲基苯酚的聚...  甲醛与二壬基酚和壬基苯酚的聚合物  4,5-二氢-alpha-甲基-2-十一烷基-1H...