Online Database of Chemicals from Around the World

易变霉素
[CAS# 62618-08-0]

供应商
CAS#: 62618-08-0
产品: 易变霉素
暂时没有厂家供应该产品。
基本信息
产品名称 易变霉素
英文名 Mutalomycin
别名 2-[2-Hydroxy-6-[1-[9-Hydroxy-2-[5-[5-(6-Hydroxy-3,5,6-Trimethyl-Tetrahydropyran-2-Yl)-3-Methyl-Tetrahydrofuran-2-Yl]-5-Methyl-Tetrahydrofuran-2-Yl]-2,8-Dimethyl-1,6-Dioxaspiro[4.5]Decan-7-Yl]Ethyl]-4-Methoxy-3,5-Dimethyl-Tetrahydropyran-2-Yl]Propanoic Acid; 2-[2-Hydroxy-6-[1-[9-Hydroxy-2-[5-[5-(6-Hydroxy-3,5,6-Trimethyl-2-Tetrahydropyranyl)-3-Methyl-2-Tetrahydrofuranyl]-5-Methyl-2-Tetrahydrofuranyl]-2,8-Dimethyl-1,6-Dioxaspiro[4.5]Decan-7-Yl]Ethyl]-4-Methoxy-3,5-Dimethyl-2-Tetrahydropyranyl]Propanoic Acid; 2-[2-Hydroxy-6-[1-[9-Hydroxy-2-[5-[5-(6-Hydroxy-3,5,6-Trimethyl-Tetrahydropyran-2-Yl)-3-Methyl-Tetrahydrofuran-2-Yl]-5-Methyl-Tetrahydrofuran-2-Yl]-2,8-Dimethyl-1,6-Dioxaspiro[4.5]Decan-7-Yl]Ethyl]-4-Methoxy-3,5-Dimethyl-Tetrahydropyran-2-Yl]Propionic Acid
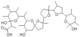
分子结构 CAS 登录号:62618-08-0, 易变霉素
分子式 C41H70O12
分子量 755.00
CAS 登录号 62618-08-0
分子行输入简码 SMILES CC(C1OC(O)(C(C(OC)C1C)C)C(C(=O)O)C)C6OC5(OC(C4OC(C3OC(C2OC(O)(C(CC2C)C)C)CC3C)(CC4)C)(CC5)C)CC(O)C6C
国际化学标识码 InChI 1S/C41H70O12/c1-20-17-22(3)39(11,45)50-31(20)29-18-21(2)35(48-29)38(10)14-13-30(49-38)37(9)15-16-40(53-37)19-28(42)23(4)32(51-40)24(5)33-25(6)34(47-12)26(7)41(46,52-33)27(8)36(43)44/h20-35,42,45-46H,13-19H2,1-12H3,(H,43,44)
国际化学标识检索码 InChIKey WWEDNBWYGGJQOV-UHFFFAOYSA-N
物理化学性质
密度 1.214g/cm3 (计算值)
沸点 814.752°C at 760 mmHg (计算值)
闪点 236.261°C (计算值)
市场分析报告
请浏览易变霉素市场分析报告总目录
相关产品
6-羟基-5-[[2,5-二甲基-4-[(2,4-...  4'-氰基[1,1'-联苯]-4-基 4'-戊基[...  N-(3-氨基苯基)甲酰胺  三尖杉酯碱  DL-抗坏血酸  黄体酮 11-半琥珀酸酯  10-N(2)-脱氧鸟苷-苯并(a)芘-7,8,9...  (33R)-N1-[4-(脒基氨基)丁基]博来霉素...  乙烷-1,2-二硫醇镍(+2)  2,4,5-三氯苯磺酸钾盐  吡咯格列  吡咯格列酒石酸盐  3-氧代硬脂酸乙酯  4-苯基偶氮苯甲酰甲基溴化物  1-甲基庚基硬脂酸酯