Online Database of Chemicals from Around the World

N-棕榈酰-D-鞘磷脂
[CAS# 6254-89-3]

供应商
BOC Sciences 美国 询价快递  
+1 (631) 485-4226
info@bocsci.com
Skype 聊天
化学品供销商
chemBlink 集群供应商(2012 年起)
Cayman Chemical Company 美国 询价快递  
+1 (734) 971-3335
sales@caymanchem.com
化学品生产商
基本信息
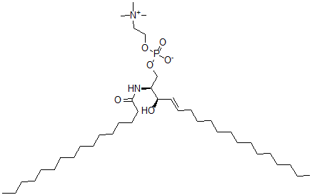
产品名称 N-棕榈酰-D-鞘磷脂
英文名 N-Palmitoyl-D-Sphingomyelin
别名 N-Palmitoyl-D-Sphingomyelin Semisynthetic From Bovine Brain Sphingomyelin
分子结构 CAS 登录号:6254-89-3, N-棕榈酰-D-鞘磷脂
分子式 C39H79N2O6P
分子量 703.03
CAS 登录号 6254-89-3
分子行输入简码 SMILES CCCCCCCCCCCCCCCC(=O)N[C@H]([C@@H](/C=C/CCCCCCCCCCCCC)O)COP(=O)(OCC[N+](C)(C)C)[O-]
国际化学标识码 InChI InChI=1S/C39H79N2O6P/c1-6-8-10-12-14-16-18-20-22-24-26-28-30-32-38(42)37(36-47-48(44,45)46-35-34-41(3,4)5)40-39(43)33-31-29-27-25-23-21-19-17-15-13-11-9-7-2/h30,32,37-38,42H,6-29,31,33-36H2,1-5H3,(H-,
安全数据
SDS 化学品安全技术说明书参考文本
市场分析报告
请浏览N-棕榈酰-D-鞘磷脂市场分析报告总目录
相关产品
N-叔丁氧羰基-L-色氨酰胺  beta-氧代-2-萘丙酸乙酯  3,4-二甲基-2,5-呋喃二酮  N,N''-二环己基-O-甲基异脲  (R)(-)-2-苄基氨基-1-丁醇  二异丙基锌  二(2,2,6,6-四甲基-3,5-庚烷二酮)-镁...  4,4'-二氨基-3,3'-二甲氧基三苯基甲烷  4,6-二溴-7H-二苯并[de,h]喹唑啉-7-...  6-(2,4-二甲氧基苯胺基)-1-萘酚-3-磺酸  L-色氨酸-2,4,5,6,7-D5  6-(乙基氨基)-4-羟基萘-2-磺酸  4-羟基-6-(磺基甲基氨基)萘-2-磺酸  4-氨基-3-羟基-7-硝基萘-1-磺酸  4-羟基萘-1,3,6-三磺酸