基本信息
| 产品名称 |
肠螯素铁 |
| 英文名 |
Ferric enterochelin |
| 别名 |
Ferric; 3-[[7,11-Bis[(2,3-Dioxidobenzoyl)Amino]-2,6,10-Trioxo-1,5,9-Trioxacyclododec-3-Yl]Carbamoyl]Benzene-1,2-Diolate; Hydron; Ferric; 3-[[[7,11-Bis[[(2,3-Dioxidophenyl)-Oxomethyl]Amino]-2,6,10-Trioxo-1,5,9-Trioxacyclododec-3-Yl]Amino]-Oxomethyl]Benzene-1,2-Diolate; Hydron |
|
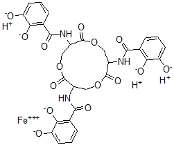
| 分子结构 |
 |
| 分子式 |
C30H24FeN3O15 |
| 分子量 |
722.38 |
| CAS 登录号 |
62280-34-6 |
| 分子行输入简码 SMILES |
[H+].[H+].[H+].C1=CC=C([O-])C(=C1C(=O)NC4C(OCC(NC(=O)C2=C([O-])C(=CC=C2)[O-])C(OCC(NC(=O)C3=C([O-])C(=CC=C3)[O-])C(OC4)=O)=O)=O)[O-].[Fe+3] |
| 国际化学标识码 InChI |
1S/C30H27N3O15.Fe/c34-19-7-1-4-13(22(19)37)25(40)31-16-10-46-29(44)18(33-27(42)15-6-3-9-21(36)24(15)39)12-48-30(45)17(11-47-28(16)43)32-26(41)14-5-2-8-20(35)23(14)38;/h1-9,16-18,34-39H,10-12H2,(H,31,40)(H,32,41)(H,33,42);/q;+3/p-3 |
| 国际化学标识检索码 InChIKey |
NGILTSZTOFYVBF-UHFFFAOYSA-K |
|