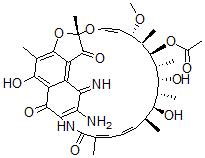
Identification
| Name |
3-Amino-1,4-Dideoxy-1,4-Dihydro-4-Imino-1-Oxo-Rifamycin |
| Synonyms |
Rifamycin,3-Amino-1,4-Dideoxy-1,4-Dihydro-4-Imino-1-Oxo-; 3-Amino-4-Deoxy-4-Imino Rifamycin S |
|
| Molecular Structure |
 |
| Molecular Formula |
C37H47N3O11 |
| Molecular Weight |
709.78 |
| CAS Registry Number |
62041-01-4 |
| SMILES |
CO[C@H]1/C=C/O[C@@]2(C)Oc3c(C2=O)c2C(=N)C(=C(C(=O)c2c(c3C)O)NC(=O)/C(=C\C=C\[C@@H]([C@@H]([C@H]([C@H]([C@H]([C@@H]([C@@H]1C)OC(=O)C)C)O)C)O)C)/C)N |
| InChI |
1S/C37H47N3O11/c1-15-11-10-12-16(2)36(47)40-28-27(39)26(38)23-24(32(28)45)31(44)20(6)34-25(23)35(46)37(8,51-34)49-14-13-22(48-9)17(3)33(50-21(7)41)19(5)30(43)18(4)29(15)42/h10-15,17-19,22,29-30, |
|