Online Database of Chemicals from Around the World

2-脱氧肌糖
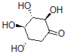
[CAS# 61914-09-8]

供应商
CAS#: 61914-09-8
产品: 2-脱氧肌糖
暂时没有厂家供应该产品。
基本信息
产品名称 2-脱氧肌糖
英文名 2-Deoxyinosose
别名 (2R,3S,4R,5S)-2,3,4,5-Tetrahydroxy-1-Cyclohexanone; 2-Deoxy-Scyllo-Inosose; 2-Deoxyinosose
分子结构 CAS 登录号:61914-09-8, 2-脱氧肌糖
分子式 C6H10O5
分子量 162.14
CAS 登录号 61914-09-8
分子行输入简码 SMILES [C@H]1([C@H](C(C[C@@H]([C@H]1O)O)=O)O)O
国际化学标识码 InChI 1S/C6H10O5/c7-2-1-3(8)5(10)6(11)4(2)9/h2,4-7,9-11H,1H2/t2-,4+,5-,6-/m0/s1
国际化学标识检索码 InChIKey GZYCZKBRQBKGJW-YGIVHSIPSA-N
物理化学性质
密度 1.784g/cm3 (计算值)
沸点 334.114°C at 760 mmHg (计算值)
闪点 170.072°C (计算值)
市场分析报告
请浏览2-脱氧肌糖市场分析报告总目录
相关产品
3beta,4alpha,5beta,6alpha...  (1R-反式)-3-(2,2-二氯乙烯基)-2,2...  二乙基[2-(5-乙基六氢-2,4,6-三氧代-5...  5,6,6a,7-四氢-6-甲基-4H-二苯并[d...  乙二胺四乙酸二钠铜盐  1-丁基螺戊烷  坚固大红 R 盐  2-(1-环己-3-烯基)-5,5-二乙基-1,3...  2-环丙基-2,4,5-三甲基-1,3-二氧戊环  4-异丙基-2,2,5,5-四甲基-1,3-二恶烷  5-胆甾烯-3beta-醇 3-(2'-乙基己基碳...  4,4'-(溴苯乙烯亚基)二(苯酚)二乙酸酯  青霉素 Bt  1-戊烯-2-醇  3-(4-氰基苯基)丙烯酸 4-丁基苯基酯