Online Database of Chemicals from Around the World

3'-脱氧烟酰胺腺嘌呤二核苷酸
[CAS# 60902-13-8]

供应商
CAS#: 60902-13-8
产品: 3'-脱氧烟酰胺腺嘌呤二核苷酸
暂时没有厂家供应该产品。
基本信息
产品名称 3'-脱氧烟酰胺腺嘌呤二核苷酸
英文名 3'-Deoxynicotinamide Adenine Dinucleotide
别名 (2R,3R,4S,5R)-5-[[[[(2S,4R,5R)-5-(6-Aminopurin-9-Yl)-4-Hydroxy-Tetrahydrofuran-2-Yl]Methoxy-Hydroxy-Phosphoryl]Oxy-Hydroxy-Phosphoryl]Oxymethyl]-2-(3-Carbamoylpyridin-1-Ium-1-Yl)-4-Hydroxy-Tetrahydrofuran-3-Olate; (2R,3R,4S,5R)-5-[[[[(2S,4R,5R)-5-(6-Amino-9-Purinyl)-4-Hydroxy-2-Tetrahydrofuranyl]Methoxy-Hydroxyphosphoryl]Oxy-Hydroxyphosphoryl]Oxymethyl]-2-(3-Carbamoyl-1-Pyridin-1-Iumyl)-4-Hydroxy-3-Tetrahydrofuranolate; (2R,3R,4S,5R)-2-(3-Aminocarbonylpyridin-1-Ium-1-Yl)-5-[[[[(2S,4R,5R)-5-(6-Aminopurin-9-Yl)-4-Hydroxy-Oxolan-2-Yl]Methoxy-Hydroxy-Phosphoryl]Oxy-Hydroxy-Phosphoryl]Oxymethyl]-4-Hydroxy-Oxolan-3-Olate
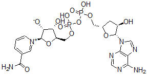
分子结构 CAS 登录号:60902-13-8, 3'-脱氧烟酰胺腺嘌呤二核苷酸
分子式 C21H27N7O13P2
分子量 647.43
CAS 登录号 60902-13-8
分子行输入简码 SMILES [C@H]1(O[C@@H](C[C@H]1O)CO[P](O[P](OC[C@H]3O[C@@H]([N+]2=CC(=CC=C2)C(=O)N)[C@H]([O-])[C@@H]3O)(=O)O)(=O)O)[N]4C5=C(N=C4)C(=NC=N5)N
国际化学标识码 InChI 1S/C21H27N7O13P2/c22-17-14-19(25-8-24-17)28(9-26-14)20-12(29)4-11(39-20)6-37-42(33,34)41-43(35,36)38-7-13-15(30)16(31)21(40-13)27-3-1-2-10(5-27)18(23)32/h1-3,5,8-9,11-13,15-16,20-21,29-30H,4,6-7H2,(H2,23,32)(H,33,34)(H,35,36)(H2,22,24,25)/t11-,12+,13+,15+,16+,20+,21+/m0/s1
国际化学标识检索码 InChIKey KZWAMALCNOMYNA-IYNGMOOJSA-N
市场分析报告
请浏览3'-脱氧烟酰胺腺嘌呤二核苷酸市场分析报告总目录
相关产品
(1-壬基)三苯基鏻溴化物  N,N''-(4-甲基-1,3-亚苯基)二[N'-...  辛酸镧(3+)  N,N'-二(对苯基苄亚基)alpha,alpha...  N4-(4-甲氧基苯基)嘧啶-2,4,6-三胺  2-(4-甲基苄基)呋喃  2-[(氯乙酰基)氧基]苯甲酸  砷化锆  毒扁豆次碱  毒扁豆碱甲碘化物  毒扁豆碱盐酸盐  二[4-[苄基乙胺]偶氮苯]六氯锡酸盐(2-)  1,2-肼二甲酸 1-乙酯  1,4-二苯甲酰基哌嗪  D-胡椒酮