Online Database of Chemicals from Around the World

6,6'-Di-O-Mycoloyl-alpha-Mannopyranosyl-alpha-Mannopyranoside
[CAS# 59578-11-9]

供应商
CAS#: 59578-11-9
产品: 6,6'-Di-O-Mycoloyl-alpha-Mannopyranosyl-alpha-Mannopyranoside
暂时没有厂家供应该产品。
基本信息
产品名称 6,6'-Di-O-Mycoloyl-alpha-Mannopyranosyl-alpha-Mannopyranoside
英文名 6,6'-Di-O-Mycoloyl-alpha-Mannopyranosyl-alpha-Mannopyranoside
别名 [(2R,3S,4S,5R,6R)-3,4,5-Trihydroxy-6-[(2R,3R,4S,5S,6R)-3,4,5-Trihydroxy-6-[2-[1-Hydroxy-18-[2-[14-(2-Icosylcyclopropyl)Tetradecyl]Cyclopropyl]Octadecyl]Hexacosanoyloxymethyl]Tetrahydropyran-2-Yl]Oxy-Tetrahydropyran-2-Yl]Methyl 2-[1-Hydroxy-18-[2-[14-(2-Icosylcyclopropyl)Tetradecyl]Cyclopropyl]Octadecyl]Hexacosanoate; 2-[1-Hydroxy-18-[2-[14-(2-Icosylcyclopropyl)Tetradecyl]Cyclopropyl]Octadecyl]Hexacosanoic Acid [(2R,3S,4S,5R,6R)-3,4,5-Trihydroxy-6-[[(2R,3R,4S,5S,6R)-3,4,5-Trihydroxy-6-[[2-[1-Hydroxy-18-[2-[14-(2-Icosylcyclopropyl)Tetradecyl]Cyclopropyl]Octadecyl]-1-Oxohexacosoxy]Methyl]-2-Tetrahydropyranyl]Oxy]-2-Tetrahydropyranyl]Methyl Ester; 2-[18-[2-[14-(2-Arachylcyclopropyl)Tetradecyl]Cyclopropyl]-1-Hydroxy-Octadecyl]Cerotic Acid [(2R,3S,4S,5R,6R)-6-[(2R,3R,4S,5S,6R)-6-[2-[18-[2-[14-(2-Arachylcyclopropyl)Tetradecyl]Cyclopropyl]-1-Hydroxy-Octadecyl]Hexacosanoyloxymethyl]-3,4,5-Trihydroxy-Tetrahydropyran-2-Yl]Oxy-3,4,5-Trihydroxy-Tetrahydropyran-2-Yl]Methyl Ester
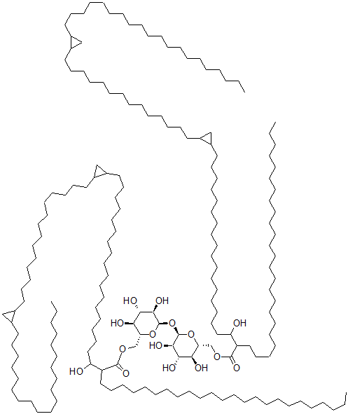
分子结构 CAS 登录号:59578-11-9, 6,6'-Di-O-Mycoloyl-alpha-Mannopyranosyl-alpha-Mannopyranoside
分子式 C180H346O15
分子量 2750.70
CAS 登录号 59578-11-9
分子行输入简码 SMILES [C@H]4(O[C@H]1O[C@@H]([C@@H](O)[C@H](O)[C@H]1O)COC(=O)C(C(O)CCCCCCCCCCCCCCCCCC2C(C2)CCCCCCCCCCCCCCC3C(C3)CCCCCCCCCCCCCCCCCCCC)CCCCCCCCCCCCCCCCCCCCCCCC)O[C@@H]([C@@H](O)[C@H](O)[C@H]4O)COC(=O)C(C(O)CCCCCCCCCCCCCCCCCC5C(C5)CCCCCCCCCCCCCCC6C(C6)CCCCCCCCCCCCCCCCCCCC)CCCCCCCCCCCCCCCCCCCCCCCC
国际化学标识码 InChI 1S/C180H346O15/c1-5-9-13-17-21-25-29-33-37-41-45-47-49-51-55-63-71-87-99-111-123-135-147-165(167(181)149-137-125-113-101-89-73-65-57-61-69-81-93-105-117-129-141-159-153-163(159)145-133-121-109-97-85-77-75-83-95-107-119-131-143-161-151-157(161)139-127-115-103-91-79-67-59-53-43-39-35-31-27-23-19-15-11-7-3)177(189)191-155-169-171(183)173(185)175(187)179(193-169)195-180-176(188)174(186)172(184)170(194-180)156-192-178(190)166(148-136-124-112-100-88-72-64-56-52-50-48-46-42-38-34-30-26-22-18-14-10-6-2)168(182)150-138-126-114-102-90-74-66-58-62-70-82-94-106-118-130-142-160-154-164(160)146-134-122-110-98-86-78-76-84-96-108-120-132-144-162-152-158(162)140-128-116-104-92-80-68-60-54-44-40-36-32-28-24-20-16-12-8-4/h157-176,179-188H,5-156H2,1-4H3/t157?,158?,159?,160?,161?,162?,163?,164?,165?,166?,167?,168?,169-,170-,171-,172-,173+,174+,175-,176-,179-,180-/m1/s1
国际化学标识检索码 InChIKey MOGDADYOLSGDFB-FDJAZNRZSA-N
市场分析报告
请浏览6,6'-Di-O-Mycoloyl-alpha-Mannopyranosyl-alpha-Mannopyranoside市场分析报告总目录
相关产品
二溴二氢肉桂酸冰片酯  2-(4-十二烷基苯甲酰基)苯甲酸  2-(烯丙氧基)-5-氨基-N-环己基苯甲酰胺  2-[丁基[4-(2,2-二氰基乙烯基)-3-甲基...  4-[[(4-氯苯基)亚氨基]甲基]苯甲酸甲酯  4-羟基-3'-甲氧基联苄  1,1,1-三硝基乙烷  2-乙基己基壬酸酯  1,2,3-三溴-5-(4-溴苯基)苯  N-乙基乙胺  1H-吲唑-3-基苯基甲酮  二正丁基锡甘氨酰甘氨酸盐  新斯拉霉素 B  新斯拉霉素 A  4-氨基丁酸盐酸盐