Online Database of Chemicals from Around the World

1-(2-甲基丙氨酸)-17-L-赖氨酸-18-L-赖氨酸-19-L-赖氨酰胺-alpha1-19-促肾上腺皮质激素
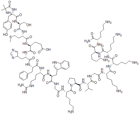
[CAS# 59189-13-8]

供应商
CAS#: 59189-13-8
产品: 1-(2-甲基丙氨酸)-17-L-赖氨酸-18-L-赖氨酸-19-L-赖氨酰胺-alpha1-19-促肾上腺皮质激素
暂时没有厂家供应该产品。
基本信息
产品名称 1-(2-甲基丙氨酸)-17-L-赖氨酸-18-L-赖氨酸-19-L-赖氨酰胺-alpha1-19-促肾上腺皮质激素
英文名 1-(2-Methylalanine)-17-L-lysine-18-L-lysine-19-L-lysinamide-alpha1-19-Corticotropin
别名 690024-S; Acth Nonadecapeptide (1-19), Aib(1)-Lys(17,18,19)-; Acth Nonadecapeptide (1-19), Aminoisobutyryl(1)-Lysine(17,18,19)-
分子结构 CAS 登录号:59189-13-8, 1-(2-甲基丙氨酸)-17-L-赖氨酸-18-L-赖氨酸-19-L-赖氨酰胺-alpha1-19-促肾上腺皮质激素
分子式 C108H172N32O23S
分子量 2318.81
CAS 登录号 59189-13-8
分子行输入简码 SMILES [C@H](C(=O)N)(NC([C@@H](NC([C@@H](NC([C@@H](NC([C@@H](NC(CNC([C@@H](NC([C@H]1N(CCC1)C([C@@H](NC(CNC([C@@H](NC([C@@H](NC([C@@H](NC([C@@H](NC([C@@H](NC([C@@H](NC([C@@H](NC([C@@H](NC(C(N)(C)C)=O)CC2=CC=C(O)C=C2)=O)CO)=O)CCSC)=O)CCC(=O)O)=O)CC3C=NC=N3)=O)CC4=CC=CC=C4)=O)CCCNC(=N)N)=O)CC5=C[NH]C6=CC=CC=C56)=O)=O)CCCCN)=O)=O)C(C)C)=O)=O)CCCCN)=O)CCCCN)=O)CCCCN)=O)CCCCN)=O)CCCCN
国际化学标识码 InChI 1S/C108H172N32O23S/c1-63(2)89(104(161)123-60-86(143)125-72(30-12-18-45-110)92(149)128-74(32-14-20-47-112)94(151)130-75(33-15-21-48-113)95(152)129-73(31-13-19-46-111)93(150)127-71(90(115)147)29-11-17-44-109)139-103(160)85-36-24-51-140(85)105(162)79(34-16-22-49-114)126-87(144)59-122-91(148)82(55-66-57-121-70-28-10-9-27-69(66)70)135-96(153)76(35-23-50-120-107(116)117)131-99(156)80(53-64-25-7-6-8-26-64)134-101(158)83(56-67-58-119-62-124-67)136-97(154)77(41-42-88(145)146)132-98(155)78(43-52-164-5)133-102(159)84(61-141)137-100(157)81(138-106(163)108(3,4)118)54-65-37-39-68(142)40-38-65/h6-10,25-28,37-40,57-58,62-63,67,71-85,89,121,141-142H,11-24,29-36,41-56,59-61,109-114,118H2,1-5H3,(H2,115,147)(H,122,148)(H,123,161)(H,125,143)(H,126,144)(H,127,150)(H,128,149)(H,129,152)(H,130,151)(H,131,156)(H,132,155)(H,133,159)(H,134,158)(H,135,153)(H,136,154)(H,137,157)(H,138,163)(H,139,160)(H,145,146)(H4,116,117,120)/t67?,71-,72-,73-,74-,75-,76-,77-,78-,79-,80-,81-,82-,83-,84-,85-,89-/m0/s1
国际化学标识检索码 InChIKey PAOFUOAKOARBGX-ZELLHGMUSA-N
市场分析报告
请浏览1-(2-甲基丙氨酸)-17-L-赖氨酸-18-L-赖氨酸-19-L-赖氨酰胺-alpha1-19-促肾上腺皮质激素市场分析报告总目录
相关产品
双十二烷基 4-[1-(4-羟基苯基)-1-甲基乙...  N-(2,5-二氯苯基)-3-羟基萘-2-甲酰胺  [(4aS)-4,4aalpha,5,6-四氢-5...  2,3-戊二烯  3-羟基-2,2-二甲基丙基异丁酸酯  9-氟-11beta,17,21-三羟基-16be...  N,N',N''-三乙酰基镰霉氨酸 C  32-羟基-24,25-二氢羊毛固醇  羊毛甾烯-3-醇-32-醛  二溴化钌(+2)  N-叔丁氧羰基-蛋氨酰-天冬氨酰-苯丙氨酰胺  (2S,3R,4R,5R,6S,7R,8S,27S...  N-溴乙酰基吡喃葡萄糖基胺  白苏烯酮  2-(二乙基氨基)-N-(1,3-二氧代-2-乙基...