Online Database of Chemicals from Around the World

(4R,5S,6S,7R,9R,11E,15S,16R)-7-(2-Hydroxyethyl)-5,9,13,15-Tetramethyl-16-Ethyl-4-Hydroxy-6-[3-(Dimethylamino)-3,4,6-Trideoxy-beta-D-Xylo-Hexopyranosyloxy]-1-Oxacyclohexadeca-11,13-Diene-2,10-Dione
[CAS# 58947-83-4]

Suppliers
CAS#: 58947-83-4
Product: (4R,5S,6S,7R,9R,11E,15S,16R)-7-(2-Hydroxyethyl)-5,9,13,15-Tetramethyl-16-Ethyl-4-Hydroxy-6-[3-(Dimethylamino)-3,4,6-Trideoxy-beta-D-Xylo-Hexopyranosyloxy]-1-Oxacyclohexadeca-11,13-Diene-2,10-Dione
No suppilers available for the product.
Identification
Name (4R,5S,6S,7R,9R,11E,15S,16R)-7-(2-Hydroxyethyl)-5,9,13,15-Tetramethyl-16-Ethyl-4-Hydroxy-6-[3-(Dimethylamino)-3,4,6-Trideoxy-beta-D-Xylo-Hexopyranosyloxy]-1-Oxacyclohexadeca-11,13-Diene-2,10-Dione
Synonyms (11E,13E)-6-(4-Dimethylamino-3-Hydroxy-6-Methyl-Tetrahydropyran-2-Yl)Oxy-16-Ethyl-4-Hydroxy-7-(2-Hydroxyethyl)-5,9,13,15-Tetramethyl-1-Oxacyclohexadeca-11,13-Diene-2,10-Dione; (11E,13E)-6-[(4-Dimethylamino-3-Hydroxy-6-Methyl-2-Tetrahydropyranyl)Oxy]-16-Ethyl-4-Hydroxy-7-(2-Hydroxyethyl)-5,9,13,15-Tetramethyl-1-Oxacyclohexadeca-11,13-Diene-2,10-Dione; (11E,13E)-6-(4-Dimethylamino-3-Hydroxy-6-Methyl-Tetrahydropyran-2-Yl)Oxy-16-Ethyl-4-Hydroxy-7-(2-Hydroxyethyl)-5,9,13,15-Tetramethyl-1-Oxacyclohexadeca-11,13-Diene-2,10-Quinone
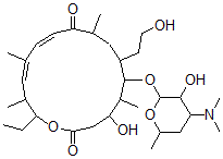
Molecular Structure CAS#: 58947-83-4, (4R,5S,6S,7R,9R,11E,15S,16R)-7-(2-Hydroxyethyl)-5,9,13,15-Tetramethyl-16-Ethyl-4-Hydroxy-6-[3-(Dimethylamino)-3,4,6-Trideoxy-beta-D-Xylo-Hexopyranosyloxy]-1-Oxacyclohexadeca-11,13-Diene-2,10-Dione
Molecular Formula C31H53NO8
Molecular Weight 567.76
CAS Registry Number 58947-83-4
SMILES C(C2C(OC1C(C(N(C)C)CC(O1)C)O)C(C(CC(OC(C(\C=C(\C=C\C(C(C2)C)=O)C)C)CC)=O)O)C)CO
InChI 1S/C31H53NO8/c1-9-27-20(4)14-18(2)10-11-25(34)19(3)15-23(12-13-33)30(22(6)26(35)17-28(36)39-27)40-31-29(37)24(32(7)8)16-21(5)38-31/h10-11,14,19-24,26-27,29-31,33,35,37H,9,12-13,15-17H2,1-8H3/b11-10+,18-14+
InChIKey KOARRXOZPWLCJM-NJESZQPCSA-N
Properties
Density 1.134g/cm3 (Cal.)
Boiling point 729.228°C at 760 mmHg (Cal.)
Flash point 394.823°C (Cal.)
Market Analysis Reports
List of Reports Available for (4R,5S,6S,7R,9R,11E,15S,16R)-7-(2-Hydroxyethyl)-5,9,13,15-Tetramethyl-16-Ethyl-4-Hydroxy-6-[3-(Dimethylamino)-3,4,6-Trideoxy-beta-D-Xylo-Hexopyranosyloxy]-1-Oxacyclohexadeca-11,13-Diene-2,10-Dione
Related Products
2-Methylbutyric Acid 8-[2-(4-Hydroxy-6-O...  2,2'-Oxybis[5,5-Bis(Bromomethyl)-1,3,2-D...  3,3'-Oxybis[8,9-Dibromo-2,4-Dioxa-3-Phos...  2,2'-Oxybis[5,5-Dimethyl-4-Propyl-1,3,2-...  2,2'-Oxybis(4-Isopropyl-5,5-Dimethyl-1,3...  6,7-Dihydro-1-Methyl-1H-1,2,3-Triazolo[4...  5-[(4-Methyl-3-nitrobenzoyl)amino]-N-(ph...  2,3-Dihydro-2,5-Dimethyl-1,4-Dithiin 1,1...  Sodium 3-(4,5-Dichloro-O-Tolyl)-1-(1,3-D...  (E)-1-Chloropent-1-En-3-One  trans-3-Chloro-4'-Phenylacrylophenone  Dipraseodymium Tricarbonate  Holmium Carbonate  (7R-cis)-9-Acetyl-7-((3-Amino-2,3,6-Trid...  (7S-cis)-9-Acetyl-7-((3-Amino-2,3,6-Trid...