Online Database of Chemicals from Around the World

(25R)-3beta-[[4-O-[4-O-[2-O-[3-O-(6-脱氧-alpha-L-甘露糖基)-beta-D-吡喃木糖基]-beta-D-吡喃葡萄糖基]-beta-D-吡喃葡萄糖基]-beta-D-吡喃半乳糖基]氧基]-5alpha-螺甾烷-12-酮
[CAS# 58546-18-2]

供应商
CAS#: 58546-18-2
产品: (25R)-3beta-[[4-O-[4-O-[2-O-[3-O-(6-脱氧-alpha-L-甘露糖基)-beta-D-吡喃木糖基]-beta-D-吡喃葡萄糖基]-beta-D-吡喃葡萄糖基]-beta-D-吡喃半乳糖基]氧基]-5alpha-螺甾烷-12-酮
暂时没有厂家供应该产品。
基本信息
产品名称 (25R)-3beta-[[4-O-[4-O-[2-O-[3-O-(6-脱氧-alpha-L-甘露糖基)-beta-D-吡喃木糖基]-beta-D-吡喃葡萄糖基]-beta-D-吡喃葡萄糖基]-beta-D-吡喃半乳糖基]氧基]-5alpha-螺甾烷-12-酮
英文名 (25R)-3beta-[[4-O-[4-O-[2-O-[3-O-(6-Deoxy-alpha-L-Mannopyranosyl)-beta-D-Xylopyranosyl]-beta-D-Glucopyranosyl]-beta-D-Glucopyranosyl]-beta-D-Galactopyranosyl]Oxy]-5alpha-Spirostan-12-One
别名 Agavoside D; Spirostan-12-One, 3-((O-6-Deoxy-Alpha-L-Mannopyranosyl-(1-3)-O-(Beta-D-Xylopyranosyl-(1-2))-O-Beta-D-Glucopyranosyl-(1-4)-O-Beta-D-Glucopyranosyl-(1-4)-Beta-D-Galactopyranosyl)Oxy)-, (3-Beta,5-Alpha,25R)-
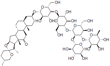
分子结构 CAS 登录号:58546-18-2, (25R)-3beta-[[4-O-[4-O-[2-O-[3-O-(6-脱氧-alpha-L-甘露糖基)-beta-D-吡喃木糖基]-beta-D-吡喃葡萄糖基]-beta-D-吡喃葡萄糖基]-beta-D-吡喃半乳糖基]氧基]-5alpha-螺甾烷-12-酮
分子式 C56H90O27
分子量 1195.31
CAS 登录号 58546-18-2
分子行输入简码 SMILES [C@H]1(O[C@H]([C@H](O)[C@H]([C@H]1O)O)C)O[C@H]2[C@H](O)[C@H](O[C@H]([C@@H]2O[C@H]3[C@@H]([C@H]([C@@H](CO3)O)O)O)O[C@@H]4[C@H](O[C@H]([C@@H]([C@H]4O)O)O[C@@H]5[C@H](O[C@H]([C@@H]([C@H]5O)O)O[C@H]%11CC[C@]9([C@@H](CC[C@H]%10C8C[C@H]6[C@H]([C@@H]([C@]7(O6)CC[C@H](CO7)C)C)[C@]8(C(C[C@H]9%10)=O)C)C%11)C)CO)CO)CO
国际化学标识码 InChI 1S/C56H90O27/c1-20-8-11-56(73-18-20)21(2)34-29(83-56)13-27-25-7-6-23-12-24(9-10-54(23,4)26(25)14-33(61)55(27,34)5)75-51-43(70)39(66)45(31(16-58)77-51)79-52-44(71)40(67)46(32(17-59)78-52)80-53-48(82-49-41(68)36(63)28(60)19-72-49)47(37(64)30(15-57)76-53)81-50-42(69)38(65)35(62)22(3)74-50/h20-32,34-53,57-60,62-71H,6-19H2,1-5H3/t20-,21+,22+,23+,24+,25-,26+,27?,28-,29+,30-,31-,32-,34+,35+,36+,37-,38-,39-,40-,41-,42-,43-,44-,45-,46-,47+,48-,49+,50+,51-,52+,53+,54+,55-,56-/m1/s1
国际化学标识检索码 InChIKey OONXKIRGWVQZDH-PAZRYQCWSA-N
物理化学性质
密度 1.539g/cm3 (计算值)
市场分析报告
请浏览(25R)-3beta-[[4-O-[4-O-[2-O-[3-O-(6-脱氧-alpha-L-甘露糖基)-beta-D-吡喃木糖基]-beta-D-吡喃葡萄糖基]-beta-D-吡喃葡萄糖基]-beta-D-吡喃半乳糖基]氧基]-5alpha-螺甾烷-12-酮市场分析报告总目录
相关产品
(4S)-4alpha-乙基-4-羟基-7-氨基-...  甲基苊  环杆菌素 A  1-(4-氯苯基)-1-亚硝基-3-(吡啶-3-基...  (9Z,12Z)-2,2-二[[(1-氧代十八碳-...  [4-(乙酰氨基)苯基]砷酸氢钠  2-[(2,3-二氢-2-氧代-5-苯并恶唑-基)...  2-氯-4-苯基喹啉  (4R)-1-甲基-4-丙-1-烯-2-基环己烯与...  3-(3-氧代-1H,3H-萘并[1,8-cd]吡...  5-氨基-2-氯-4-磺基苯甲酸  1,2,3,4-四氢苯并[h]喹啉-3,7-二醇  2-[4-(4,5-二氢-3-甲基-5-氧代-1H...  4-羟基雌酮-4-甲基醚  alpha-(3-氯丙基)-alpha-[2-(二...