Online Database of Chemicals from Around the World

[(22R)-26-(beta-D-吡喃葡萄糖基氧基)-22-羟基呋甾-5-烯-3beta-基] 6-O-(3-O-beta-D-吡喃葡萄糖基-beta-D-吡喃葡萄糖基)-beta-D-吡喃葡萄糖苷
[CAS# 56126-14-8]

供应商
CAS#: 56126-14-8
产品: [(22R)-26-(beta-D-吡喃葡萄糖基氧基)-22-羟基呋甾-5-烯-3beta-基] 6-O-(3-O-beta-D-吡喃葡萄糖基-beta-D-吡喃葡萄糖基)-beta-D-吡喃葡萄糖苷
暂时没有厂家供应该产品。
基本信息
产品名称 [(22R)-26-(beta-D-吡喃葡萄糖基氧基)-22-羟基呋甾-5-烯-3beta-基] 6-O-(3-O-beta-D-吡喃葡萄糖基-beta-D-吡喃葡萄糖基)-beta-D-吡喃葡萄糖苷
英文名 [(22R)-26-(beta-D-Glucopyranosyloxy)-22-Hydroxyfurost-5-En-3beta-Yl] 6-O-(3-O-beta-D-Glucopyranosyl-beta-D-Glucopyranosyl)-beta-D-Glucopyranoside
别名 Beta-D-Glucopyranoside, (3-Beta,22-Alpha)-26-(Beta-D-Glucopyranosyloxy)-22-Hydroxyfurost-5-En-3-Yl O-Beta-D-Glucopyranosyl-(1-3)-O-Beta-D-Glucopyranosyl-(1-6)-
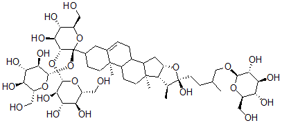
分子结构 CAS 登录号:56126-14-8, [(22R)-26-(beta-D-吡喃葡萄糖基氧基)-22-羟基呋甾-5-烯-3beta-基] 6-O-(3-O-beta-D-吡喃葡萄糖基-beta-D-吡喃葡萄糖基)-beta-D-吡喃葡萄糖苷
分子式 C51H84O24
分子量 1081.21
CAS 登录号 56126-14-8
分子行输入简码 SMILES [C@@H]12[C@@]9(C(C[C@@H]1O[C@@](O)([C@H]2C)CCC(CO[C@@H]3O[C@@H]([C@@H](O)[C@H](O)[C@H]3O)CO)C)C4C([C@@]8(C(=CC4)CC([C@]5(O[C@@H]([C@@H](O)[C@H](O)[C@H]5O[C@@H]6O[C@@H]([C@@H](O)[C@H](O)[C@H]6O)CO)CO)O[C@@H]7O[C@@H]([C@@H](O)[C@H](O)[C@H]7O)CO)CC8)C)CC9)C
国际化学标识码 InChI 1S/C51H84O24/c1-20(19-68-45-41(64)37(60)33(56)28(15-52)69-45)7-12-50(67)21(2)32-27(73-50)14-26-24-6-5-22-13-23(8-10-48(22,3)25(24)9-11-49(26,32)4)51(75-47-43(66)39(62)35(58)30(17-54)71-47)44(40(63)36(59)31(18-55)74-51)72-46-42(65)38(61)34(57)29(16-53)70-46/h5,20-21,23-47,52-67H,6-19H2,1-4H3/t20?,21-,23?,24?,25?,26?,27-,28+,29+,30+,31+,32-,33+,34+,35+,36+,37-,38-,39-,40-,41+,42+,43+,44+,45+,46-,47-,48-,49-,50+,51-/m0/s1
国际化学标识检索码 InChIKey ALPKPXXOFFUSLY-ZVKAMZIBSA-N
物理化学性质
密度 1.546g/cm3 (计算值)
市场分析报告
请浏览[(22R)-26-(beta-D-吡喃葡萄糖基氧基)-22-羟基呋甾-5-烯-3beta-基] 6-O-(3-O-beta-D-吡喃葡萄糖基-beta-D-吡喃葡萄糖基)-beta-D-吡喃葡萄糖苷市场分析报告总目录
相关产品
二乙酰基吗啡  4-氨基甲酰-1-甲基吡啶鎓碘化物  硫代皮考林酸 O-丁基酯  N,N-二(2-氯乙基)-4-(萘-1-基亚氨基甲...  (Z,Z)-十七碳-1,8,11-三烯  2,5-二甲基-2-乙烯基己-4-烯醛  丁基二硫代氨基甲酸乙酯  1,4-二氢蒽-9,10-二醇  5-氨基-5-羧基戊酰胺基-(5-甲酰基-4-羧基...  克草胺酯  4,4'-二(二甲基氨基)-4''-(甲基氨基)三...  (24R)-1(alpha),24,25-三羟基维...  乙氧基环丙烷  (1S-内)-[3-溴-7,7-二甲基-2-氧代双...  4alpha-佛波醇-12,13-二乙酸酯