Online Database of Chemicals from Around the World

4,4-D2-Cyclophosphamide
[CAS# 55836-73-2]

供应商
CAS#: 55836-73-2
产品: 4,4-D2-Cyclophosphamide
暂时没有厂家供应该产品。
基本信息
产品名称 4,4-D2-Cyclophosphamide
英文名 4,4-D2-Cyclophosphamide
别名 Bis(2-Chloroethyl)-(4,4-Dideuterio-2-Keto-1-Oxa-3-Aza-2$L^{5}-Phosphacyclohex-2-Yl)Amine; N,N-Bis(2-Chloroethyl)Tetrahydro-4-D-2H-1,3,2-Oxazaphosphorin-4-D-2-Amine 2-Oxide; 2H-1,3,2-Oxazaphosphorin-4-D-2-Amine, N,N-Bis(2-Chloroethyl)Tetrahydro-4-D-, 2-Oxide
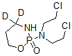
分子结构 CAS 登录号:55836-73-2, 4,4-D2-Cyclophosphamide
分子式 C7H13D2Cl2N2O2P
分子量 263.10
CAS 登录号 55836-73-2
分子行输入简码 SMILES C(N([P]1(OCCC(N1)([2H])[2H])=O)CCCl)CCl
国际化学标识码 InChI 1S/C7H15Cl2N2O2P/c8-2-5-11(6-3-9)14(12)10-4-1-7-13-14/h1-7H2,(H,10,12)/i4D2
国际化学标识检索码 InChIKey CMSMOCZEIVJLDB-APZFVMQVSA-N
物理化学性质
密度 1.344g/cm3 (计算值)
沸点 336.099°C at 760 mmHg (计算值)
闪点 157.068°C (计算值)
市场分析报告
请浏览4,4-D2-Cyclophosphamide市场分析报告总目录
相关产品
吡氯斯汀  4-O-beta-D-吡喃半乳糖基-D-山梨糖醇月...  止泻宁  咪洛芬  (1,1-二甲氧基乙氧基)环己烷  3,3-二甲基-环氧乙烷羧酸甲酯  2-[[(4-氯苯基)甲基亚肼基]甲基]-1-(2...  1,3,3-三甲基-2-[(甲基苯基亚肼基)甲基]...  1-氨基-4,5-二羟基-8-[(4-甲氧基苯基)...  3,4-二苯基呋咱 2-氧化物  五氨合钌氯化物  杆菌肽  2-甲基-2-丙烯酸与 2-甲基-2-丙烯酸丁酯,...  6,7-二甲氧基异喹啉-1-基3,4-二甲氧基苯基...  麦皮星酮