基本信息
| 产品名称 |
[(3S,5R,10S,13R,14R,17R)-17-[(1S)-1,5-二甲基己-4-烯基]-4,4,10,13,14-五甲基-2,3,5,6,7,11,12,15,16,17-十氢-1H-环戊二烯并[a]菲-3-基]氧基-三甲基-硅烷 |
| 英文名 |
[(3S,5R,10S,13R,14R,17R)-17-[(1S)-1,5-Dimethylhex-4-Enyl]-4,4,10,13,14-Pentamethyl-2,3,5,6,7,11,12,15,16,17-Decahydro-1H-Cyclopenta[a]Phenanthren-3-Yl]Oxy-Trimethyl-Silane |
| 别名 |
LANOSTEROL-TRIMETHYLSILYL-ETHER |
|
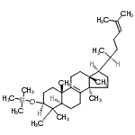
| 分子结构 |
![CAS 登录号:55493-84-0, [(3S,5R,10S,13R,14R,17R)-17-[(1S)-1,5-二甲基己-4-烯基]-4,4,10,13,14-五甲基-2,3,5,6,7,11,12,15,16,17-十氢-1H-环戊二烯并[a]菲-3-基]氧基-三甲基-硅烷](/moreStructures/55493-84-0.gif) |
| 分子式 |
C33H58OSi |
| 分子量 |
498.90 |
| CAS 登录号 |
55493-84-0 |
| 分子行输入简码 SMILES |
C[C@@H](CCC=C(C)C)[C@H]1CC[C@@]2([C@@]1(CCC3=C2CC[C@@H]4[C@@]3(CC[C@@H](C4(C)C)O[Si](C)(C)C)C)C)C |
| 国际化学标识码 InChI |
1S/C33H58OSi/c1-23(2)13-12-14-24(3)25-17-21-33(8)27-15-16-28-30(4,5)29(34-35(9,10)11)19-20-31(28,6)26(27)18-22-32(25,33)7/h13,24-25,28-29H,12,14-22H2,1-11H3/t24-,25+,28-,29-,31+,32+,33-/m0/s1 |
| 国际化学标识检索码 InChIKey |
VUPPLGLOGXZZKA-ZXEXGRMMSA-N |
|