基本信息
| 产品名称 |
5''-氨基-4',5''-二脱氧丁胺菌素 A |
| 英文名 |
5''-Amino-4',5''-Dideoxybutirosin A |
| 别名 |
4-Amino-N-[5-Amino-4-[3-Amino-6-(Aminomethyl)-4-Hydroxy-Tetrahydropyran-2-Yl]Oxy-3-[5-(Aminomethyl)-3,4-Dihydroxy-Tetrahydrofuran-2-Yl]Oxy-2-Hydroxy-Cyclohexyl]-2-Hydroxy-Butanamide; 4-Amino-N-[5-Amino-4-[[3-Amino-6-(Aminomethyl)-4-Hydroxy-2-Tetrahydropyranyl]Oxy]-3-[[5-(Aminomethyl)-3,4-Dihydroxy-2-Tetrahydrofuranyl]Oxy]-2-Hydroxycyclohexyl]-2-Hydroxybutanamide; 4-Amino-N-[5-Amino-4-[3-Amino-6-(Aminomethyl)-4-Hydroxy-Tetrahydropyran-2-Yl]Oxy-3-[5-(Aminomethyl)-3,4-Dihydroxy-Tetrahydrofuran-2-Yl]Oxy-2-Hydroxy-Cyclohexyl]-2-Hydroxy-Butyramide |
|
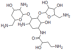
| 分子结构 |
 |
| 分子式 |
C21H42N6O10 |
| 分子量 |
538.60 |
| CAS 登录号 |
55480-22-3 |
| 分子行输入简码 SMILES |
C(C(C(NC1CC(C(C(C1O)OC2C(C(C(O2)CN)O)O)OC3C(C(CC(O3)CN)O)N)N)=O)O)CN |
| 国际化学标识码 InChI |
1S/C21H42N6O10/c22-2-1-10(28)19(33)27-9-4-8(25)17(36-20-13(26)11(29)3-7(5-23)34-20)18(14(9)30)37-21-16(32)15(31)12(6-24)35-21/h7-18,20-21,28-32H,1-6,22-26H2,(H,27,33) |
| 国际化学标识检索码 InChIKey |
LRKPNNTVUJAOCJ-UHFFFAOYSA-N |
|