Online Database of Chemicals from Around the World

3-氨基吡啶腺嘌呤二核苷酸磷酸酯
[CAS# 54758-28-0]

供应商
CAS#: 54758-28-0
产品: 3-氨基吡啶腺嘌呤二核苷酸磷酸酯
暂时没有厂家供应该产品。
基本信息
产品名称 3-氨基吡啶腺嘌呤二核苷酸磷酸酯
英文名 3-Aminopyridine Adenine Dinucleotide Phosphate
别名 (2R,3R,4S,5R)-5-[[[(2R,3R,4R,5R)-2-(6-Aminopurin-9-Yl)-4-Hydroxy-5-[(Hydroxy-Phosphonooxy-Phosphoryl)Oxymethyl]Tetrahydrofuran-3-Yl]Oxy-Hydroxy-Phosphoryl]Oxymethyl]-2-(3-Aminopyridin-1-Ium-1-Yl)-4-Hydroxy-Tetrahydrofuran-3-Olate; (2R,3R,4S,5R)-5-[[[(2R,3R,4R,5R)-2-(6-Amino-9-Purinyl)-4-Hydroxy-5-[(Hydroxy-Phosphonooxyphosphoryl)Oxymethyl]-3-Tetrahydrofuranyl]Oxy-Hydroxyphosphoryl]Oxymethyl]-2-(3-Amino-1-Pyridin-1-Iumyl)-4-Hydroxy-3-Tetrahydrofuranolate; (2R,3R,4S,5R)-5-[[[(2R,3R,4R,5R)-2-(6-Aminopurin-9-Yl)-4-Hydroxy-5-[(Hydroxy-Phosphonooxy-Phosphoryl)Oxymethyl]Oxolan-3-Yl]Oxy-Hydroxy-Phosphoryl]Oxymethyl]-2-(3-Aminopyridin-1-Ium-1-Yl)-4-Hydroxy-Oxolan-3-Olate
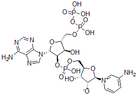
分子结构 CAS 登录号:54758-28-0, 3-氨基吡啶腺嘌呤二核苷酸磷酸酯
分子式 C20H28N7O16P3
分子量 715.40
CAS 登录号 54758-28-0
分子行输入简码 SMILES [C@H]1(O[C@@H]([C@@H](O)[C@H]1O[P](OC[C@H]3O[C@@H]([N+]2=CC(=CC=C2)N)[C@H]([O-])[C@@H]3O)(=O)O)CO[P](O[P](=O)(O)O)(=O)O)[N]4C5=C(N=C4)C(=NC=N5)N
国际化学标识码 InChI 1S/C20H28N7O16P3/c21-9-2-1-3-26(4-9)19-15(30)13(28)10(40-19)5-38-45(34,35)42-16-14(29)11(6-39-46(36,37)43-44(31,32)33)41-20(16)27-8-25-12-17(22)23-7-24-18(12)27/h1-4,7-8,10-11,13-16,19-20,28-29H,5-6,21H2,(H,34,35)(H,36,37)(H2,22,23,24)(H2,31,32,33)/t10-,11-,13-,14-,15-,16-,19-,20-/m1/s1
国际化学标识检索码 InChIKey BAXCQRTXEORKEF-HISDBWNOSA-N
市场分析报告
请浏览3-氨基吡啶腺嘌呤二核苷酸磷酸酯市场分析报告总目录
相关产品
5-(乙硫基)-N-甲基-1,3,4-噻二唑-2-...  (1alpha,2alpha,5alpha)-2,...  4-(6-氨基-1,4-二氢-4-氧代-1,3,5...  内-1-(4-双环[2.2.1]庚-2-基苯基)乙...  3-庚基-delta(1)-四氢大麻酚  N-(3-氯苯基)-N-甲基乙酰胺  草酸镍(II)  (R*,R*)-4-[异丙基硫代]-alpha-[...  N-(4,5-二氢-1H-咪唑-2-基)-5-甲基...  N-[1-[(苄氧基)羰基]-L-脯氨酰]-L-亮...  二壬基苯基二(壬基苯基)亚磷酸酯  2,4,6-三辛基苯酚  [4S-(4alpha,5beta,6alpha)...  rel-(2R*,5S*)-5-甲基四氢呋喃-2-...  2-甲基-1-丙基萘