Online Database of Chemicals from Around the World

2,3-二己基-2-环丙烯-1-羧酸
[CAS# 54467-87-7]

供应商
CAS#: 54467-87-7
产品: 2,3-二己基-2-环丙烯-1-羧酸
暂时没有厂家供应该产品。
基本信息
产品名称 2,3-二己基-2-环丙烯-1-羧酸
英文名 2,3-Dihexyl-2-Cyclopropene-1-Carboxylic Acid
别名 1,2-Dihexylcyclopropene-3-carboxylic acid; 2,3-Dihexyl-2-cyclopropene-1-carboxylic acid #; 2-Cyclopropene-1-carboxylic acid, 2,3-dihexyl-
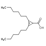
分子结构 CAS 登录号:54467-87-7, 2,3-二己基-2-环丙烯-1-羧酸
分子式 C16H28O2
分子量 252.39
CAS 登录号 54467-87-7
分子行输入简码 SMILES O=C(O)C1/C(=C1/CCCCCC)CCCCCC
国际化学标识码 InChI 1S/C16H28O2/c1-3-5-7-9-11-13-14(15(13)16(17)18)12-10-8-6-4-2/h15H,3-12H2,1-2H3,(H,17,18)
国际化学标识检索码 InChIKey HIZHTBNZCIJIHX-UHFFFAOYSA-N
物理化学性质
密度 0.963g/cm3 (计算值)
沸点 363.637°C at 760 mmHg (计算值)
闪点 176.867°C (计算值)
市场分析报告
请浏览2,3-二己基-2-环丙烯-1-羧酸市场分析报告总目录
相关产品
N-(2-乙基苯基)-5-甲基-2-糠酰胺  N-氯-N-甲基环丁烷甲酰胺  3-氯-N-(5-氯-2-甲基苯基)丙酰胺  3-氟-2-吡啶甲腈  1-(3-硝基-1,2-恶唑-5-基)乙酮  2-氯-1-(6-氟-2-甲基-3,4-二氢-1(...  (1R,4R)-5,5-二甲基双环[2.1.1]己...  1-(6-甲基-1,3-苯并噻唑-2-基)乙醇  N-[2-(1,2-二羟基乙基)苯基]苯甲酰胺  N-环丙基四氢-2-呋喃甲酰胺  4-氯-N-(1,3,4-噻二唑-2-基)丁酰胺  N-(4-吗啉基)-2-苯基环丙烷甲酰胺  5-溴-N-乙基-2-糠酰胺  2-烯丙基-1-苯并呋喃  5-丙基-1,3-苯并噻唑-2(3H)-硫酮