Online Database of Chemicals from Around the World

马来酰-辅酶 A
[CAS# 54377-18-3]

供应商
CAS#: 54377-18-3
产品: 马来酰-辅酶 A
暂时没有厂家供应该产品。
基本信息
产品名称 马来酰-辅酶 A
英文名 Maleyl-Coenzyme A
别名 (Z)-4-[2-[3-[[4-[[[5-(6-Aminopurin-9-Yl)-4-Hydroxy-3-Phosphonooxy-Tetrahydrofuran-2-Yl]Methoxy-Hydroxy-Phosphoryl]Oxy-Hydroxy-Phosphoryl]Oxy-2-Hydroxy-3,3-Dimethyl-Butanoyl]Amino]Propanoylamino]Ethylsulfanyl]-4-Oxo-But-2-Enoic Acid; (Z)-4-[2-[[3-[[4-[[[5-(6-Amino-9-Purinyl)-4-Hydroxy-3-Phosphonooxy-2-Tetrahydrofuranyl]Methoxy-Hydroxyphosphoryl]Oxy-Hydroxyphosphoryl]Oxy-2-Hydroxy-3,3-Dimethyl-1-Oxobutyl]Amino]-1-Oxopropyl]Amino]Ethylthio]-4-Oxobut-2-Enoic Acid; (Z)-4-[2-[3-[[4-[[[5-(6-Aminopurin-9-Yl)-4-Hydroxy-3-Phosphonooxy-Tetrahydrofuran-2-Yl]Methoxy-Hydroxy-Phosphoryl]Oxy-Hydroxy-Phosphoryl]Oxy-2-Hydroxy-3,3-Dimethyl-Butanoyl]Amino]Propanoylamino]Ethylthio]-4-Keto-But-2-Enoic Acid
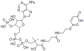
分子结构 CAS 登录号:54377-18-3, 马来酰-辅酶 A
分子式 C25H38N7O19P3S
分子量 865.59
CAS 登录号 54377-18-3
分子行输入简码 SMILES C1=NC3=C([N]1C2OC(C(O[P](=O)(O)O)C2O)CO[P](O[P](OCC(C(O)C(=O)NCCC(=O)NCCSC(=O)\C=C/C(=O)O)(C)C)(=O)O)(=O)O)N=CN=C3N
国际化学标识码 InChI 1S/C25H38N7O19P3S/c1-25(2,20(38)23(39)28-6-5-14(33)27-7-8-55-16(36)4-3-15(34)35)10-48-54(45,46)51-53(43,44)47-9-13-19(50-52(40,41)42)18(37)24(49-13)32-12-31-17-21(26)29-11-30-22(17)32/h3-4,11-13,18-20,24,37-38H,5-10H2,1-2H3,(H,27,33)(H,28,39)(H,34,35)(H,43,44)(H,45,46)(H2,26,29,30)(H2,40,41,42)/b4-3-
国际化学标识检索码 InChIKey NOXKSYIGMVMLHF-ARJAWSKDSA-N
物理化学性质
密度 1.912g/cm3 (计算值)
市场分析报告
请浏览马来酰-辅酶 A市场分析报告总目录
相关产品
1-氯-5-癸炔  1,3,3-三硝基丁烷-2-基苯  乙酰基吡咯烷胆碱  乙酰基二乙基胆碱  链甾醇硫酸酯  4,4'-[(3,3'-二甲氧基[1,1'-联苯]...  2-[(2-甲基-1-氧代烯丙基)氧基]乙基 3-...  3-(2-氨基乙氧基)丙胺  O-2-氯-4-(甲硫基)苯基 O-甲基乙基硫代磷...  2,2-二(羟基甲基)丙烷-1,3-二基二肉豆蔻酸...  5,6-二甲基-3a,4,7,7alpha-四氢异...  北美鹅掌楸尼定碱  3-乙氧基-4-羟基苯甲酸  4-氰基-2-乙氧基苯基乙酸酯  [4-(氰基甲基)-2-甲氧基-苯基]乙酸酯