Online Database of Chemicals from Around the World

前列腺素 F2 乙酯
[CAS# 53764-89-9]

供应商
Santa Cruz Biotechnology, Inc. 美国 询价快递  
+1 (831) 457-3800
scbt@scbt.com
化学品生产商
Sigma-Aldrich, Inc. 美国 询价快递  
+86 (21) 6141-5566 / 800-819-3336
ordercn@sial.com,
化学品生产商(1992 年起)
基本信息
产品名称 前列腺素 F2 乙酯
英文名 Prostaglandin F2 Ethyl Ester
别名 (Z)-7-[(1R,2R,3R,5S)-3,5-Dihydroxy-2-[(E,3S)-3-Hydroxyoct-1-Enyl]Cyclopentyl]Hept-5-Enoic Acid Ethyl Ester; P0314_Sigma; Prostaglandin- F2alpha Methyl Ester
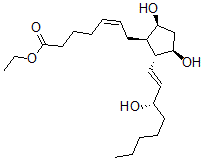
分子结构 CAS 登录号:53764-89-9, 前列腺素 F2 乙酯
分子式 C22H38O5
分子量 382.54
CAS 登录号 53764-89-9
分子行输入简码 SMILES [C@H]1([C@H]([C@@H](O)C[C@H]1O)C\C=C/CCCC(OCC)=O)\C=C\[C@@H](O)CCCCC
国际化学标识码 InChI 1S/C22H38O5/c1-3-5-8-11-17(23)14-15-19-18(20(24)16-21(19)25)12-9-6-7-10-13-22(26)27-4-2/h6,9,14-15,17-21,23-25H,3-5,7-8,10-13,16H2,1-2H3/b9-6-,15-14+/t17-,18+,19+,20-,21+/m0/s1
国际化学标识检索码 InChIKey KRDFNHLEMLCWKD-GWSKAPOCSA-N
物理化学性质
密度 1.095g/cm3 (计算值)
沸点 506.041°C at 760 mmHg (计算值)
闪点 163.987°C (计算值)
市场分析报告
请浏览前列腺素 F2 乙酯市场分析报告总目录
相关产品
9alpha,11alpha,15S-三羟基-前列...  2',3'-二去氢-2',3'-二脱氧鸟苷  二氢月桂烯基乙酸酯  3,5-二异丙基水杨酸锌  (Z)-4-[3-[2-(三氟甲基)-9H-噻吨-...  反式-(E)-氟哌噻吨  尿囊素  鲍迪木醌  2,8-二((1,1'-联苯)-4-基甲基)-环辛...  6-氯-1-乙基-1,4-二氢-7-甲氧基-4-氧...  7-乙氧基-1-乙基-1,4-二氢-6-(2-甲氧...  3-脱氧-14,15-二氢-15-羟基-莸酯素醇  1-乙基-1-甲基-环丙烷  五碘化铋二钠  1-苯基-3-[[4-[(2-吡啶基氨基)磺酰基]...