基本信息
| 产品名称 |
N,N-二(羧甲基)甘氨酸铅(2+)盐 |
| 英文名 |
N,N-Bis(carboxymethyl)glycine lead(2+) salt |
| 别名 |
Plumbous 2-[Carboxymethyl-(2-Oxido-2-Oxo-Ethyl)Amino]Acetate; Plumbous 2-[Carboxymethyl-(2-Oxido-2-Oxoethyl)Amino]Acetate; Plumbous 2-[Carboxymethyl-(2-Keto-2-Oxido-Ethyl)Amino]Acetate |
|
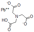
| 分子结构 |
 |
| 分子式 |
C6H7NO6Pb |
| 分子量 |
396.32 |
| CAS 登录号 |
53113-59-0 |
| 分子行输入简码 SMILES |
C(N(CC([O-])=O)CC(=O)O)C([O-])=O.[Pb++] |
| 国际化学标识码 InChI |
1S/C6H9NO6.Pb/c8-4(9)1-7(2-5(10)11)3-6(12)13;/h1-3H2,(H,8,9)(H,10,11)(H,12,13);/q;+2/p-2 |
| 国际化学标识检索码 InChIKey |
HOUDIAKCTRMSHT-UHFFFAOYSA-L |
|