Online Database of Chemicals from Around the World

伊枯草菌素 C
[CAS# 52229-92-2]

供应商
CAS#: 52229-92-2
产品: 伊枯草菌素 C
暂时没有厂家供应该产品。
基本信息
产品名称 伊枯草菌素 C
英文名 Iturin C
别名 2-[6,22-Bis(2-Amino-2-Oxo-Ethyl)-3-(3-Amino-3-Oxo-Propyl)-19-(Hydroxymethyl)-9-[(4-Hydroxyphenyl)Methyl]-2,5,8,11,14,18,21,24-Octaoxo-16-Undecyl-1,4,7,10,13,17,20,23-Octazabicyclo[23.3.0]Octacosan-12-Yl]Acetic Acid; 2-[6,22-Bis(2-Amino-2-Keto-Ethyl)-3-(3-Amino-3-Keto-Propyl)-9-(4-Hydroxybenzyl)-2,5,8,11,14,18,21,24-Octaketo-19-Methylol-16-Undecyl-1,4,7,10,13,17,20,23-Octazabicyclo[23.3.0]Octacosan-12-Yl]Acetic Acid; 2-[6,22-Bis(2-Amino-2-Oxo-Ethyl)-3-(3-Amino-3-Oxo-Propyl)-19-(Hydroxymethyl)-9-[(4-Hydroxyphenyl)Methyl]-2,5,8,11,14,18,21,24-Octaoxo-16-Undecyl-1,4,7,10,13,17,20,23-Octazabicyclo[23.3.0]Octacosan-12-Yl]Ethanoic Acid
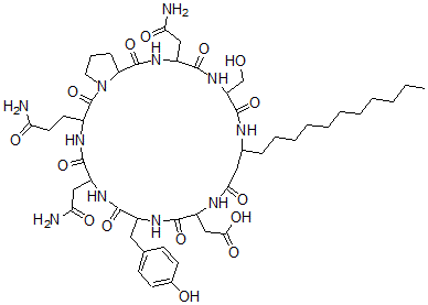
分子结构 CAS 登录号:52229-92-2, 伊枯草菌素 C
分子式 C48H73N11O15
分子量 1044.17
CAS 登录号 52229-92-2
分子行输入简码 SMILES C3=C(CC1NC(=O)C(NC(=O)CC(NC(=O)C(NC(=O)C(NC(=O)C2N(C(=O)C(NC(=O)C(NC1=O)CC(=O)N)CCC(=O)N)CCC2)CC(=O)N)CO)CCCCCCCCCCC)CC(=O)O)C=CC(=C3)O
国际化学标识码 InChI 1S/C48H73N11O15/c1-2-3-4-5-6-7-8-9-10-12-28-22-40(65)53-34(25-41(66)67)45(71)55-31(21-27-14-16-29(61)17-15-27)42(68)56-32(23-38(50)63)43(69)54-30(18-19-37(49)62)48(74)59-20-11-13-36(59)47(73)57-33(24-39(51)64)44(70)58-35(26-60)46(72)52-28/h14-17,28,30-36,60-61H,2-13,18-26H2,1H3,(H2,49,62)(H2,50,63)(H2,51,64)(H,52,72)(H,53,65)(H,54,69)(H,55,71)(H,56,68)(H,57,73)(H,58,70)(H,66,67)
国际化学标识检索码 InChIKey MVHYSGWFUVMTLO-UHFFFAOYSA-N
物理化学性质
密度 1.382g/cm3 (计算值)
沸点 1585.614°C at 760 mmHg (计算值)
闪点 912.746°C (计算值)
市场分析报告
请浏览伊枯草菌素 C市场分析报告总目录
相关产品
去甲血根碱  17beta-羟雌-4-烯-3-酮 17-棕榈酸酯  4-O-苯甲酰基吡哆辛  缬氨酰-脯氨酰-甘氨酰-缬氨酰-甘氨酸  十二氢-4H,8H,12H-4a,8a,12alp...  N-(1-甲基十二碳基)-N,N,N-三甲基铵  1-[2-[4-[(Z)-1-(4-甲氧基苯基)-...  2-[(叔丁基)偶氮]-2-甲基丁腈  [[3-(氨基甲基)苯基]甲基]氨基甲酸  alpha-乙基联苄  禾草敌-亚砜  4-(二苯基亚甲基)-2-乙基-3-甲基环己醇乙酸...  4-[(5-氨基-3-甲基-1-苯基-1H-吡唑-...  [4-[(1-氨基-9,10-二氢-4-羟基-9,...  [4-[(1-氨基-9,10-二氢-4-羟基-9,...