Online Database of Chemicals from Around the World

抗生素 A 130A
[CAS# 51257-84-2]

供应商
CAS#: 51257-84-2
产品: 抗生素 A 130A
暂时没有厂家供应该产品。
基本信息
产品名称 抗生素 A 130A
英文名 Antibiotic A 130A
别名 Sodium (E,2S,4R,8S)-8-[(2S,5R,7S,9R,10R)-2-[(2R,4S,7R,10R)-2-[(2S,3S,5R,6R)-6-Hydroxy-6-(Hydroxymethyl)-3,5-Dimethyl-Tetrahydropyran-2-Yl]-4,10-Dimethyl-1,6-Dioxaspiro[4.5]Decan-7-Yl]-9-[(2R,5S,6R)-5-Methoxy-6-Methyl-Tetrahydropyran-2-Yl]Oxy-2,10-Dimethyl-1,6-Dioxaspiro[4.5]Decan-7-Yl]-2,4,6-Trimethyl-5-Oxo-Non-6-Enoate; Sodium (E,2S,4R,8S)-8-[(2S,5R,7S,9R,10R)-2-[(2R,4S,7R,10R)-2-[(2S,3S,5R,6R)-6-Hydroxy-6-(Hydroxymethyl)-3,5-Dimethyl-2-Tetrahydropyranyl]-4,10-Dimethyl-1,6-Dioxaspiro[4.5]Decan-7-Yl]-9-[[(2R,5S,6R)-5-Methoxy-6-Methyl-2-Tetrahydropyranyl]Oxy]-2,10-Dimethyl-1,6-Dioxaspiro[4.5]Decan-7-Yl]-2,4,6-Trimethyl-5-Oxonon-6-Enoate; Sodium (E,2S,4R,8S)-8-[(2S,5R,7S,9R,10R)-2-[(2R,4S,7R,10R)-2-[(2S,3S,5R,6R)-6-Hydroxy-3,5-Dimethyl-6-Methylol-Tetrahydropyran-2-Yl]-4,10-Dimethyl-1,6-Dioxaspiro[4.5]Decan-7-Yl]-9-[(2R,5S,6R)-5-Methoxy-6-Methyl-Tetrahydropyran-2-Yl]Oxy-2,10-Dimethyl-1,6-Dioxaspiro[4.5]Decan-7-Yl]-5-Keto-2,4,6-Trimethyl-Non-6-Enoate
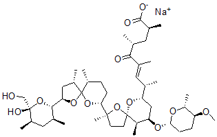
分子结构 CAS 登录号:51257-84-2, 抗生素 A 130A
分子式 C47H77NaO13
分子量 873.11
CAS 登录号 51257-84-2
分子行输入简码 SMILES [C@H]5(OC4(O[C@@H]([C@]3(O[C@]2(O[C@@H](C[C@@H](O[C@@H]1O[C@@H]([C@@H](OC)CC1)C)[C@H]2C)[C@H](\C=C(C(=O)[C@@H](C[C@@H](C([O-])=O)C)C)/C)C)CC3)C)CC[C@H]4C)[C@H](C5)C)[C@H]6O[C@](O)([C@@H](C[C@@H]6C)C)CO.[Na+]
国际化学标识码 InChI 1S/C47H78O13.Na/c1-25(19-26(2)41(49)27(3)20-29(5)43(50)51)36-23-37(55-40-16-14-35(53-12)34(10)54-40)33(9)46(56-36)18-17-44(11,60-46)39-15-13-30(6)47(58-39)32(8)22-38(57-47)42-28(4)21-31(7)45(52,24-48)59-42;/h19,25,27-40,42,48,52H,13-18,20-24H2,1-12H3,(H,50,51);/q;+1/p-1/b26-19+;/t25-,27+,28-,29-,30+,31+,32-,33+,34+,35-,36-,37+,38+,39+,40-,42-,44-,45-,46+,47?;/m0./s1
国际化学标识检索码 InChIKey SLTQRBSNSQCBNO-GZEIRFRYSA-M
物理化学性质
沸点 875.5°C at 760 mmHg (计算值)
闪点 245.4°C (计算值)
市场分析报告
请浏览抗生素 A 130A市场分析报告总目录
相关产品
甲状旁腺激素 (3-34)  N-[(3-氯-4-甲氧基-苯基)甲氧基]乙酰胺  2-氯-N-((3-氯-2-丁烯基)氧基)乙酰胺  11-beta,21-二羟基孕甾-1,4,17(2...  7,7-二甲基-三环[2.2.1.02,6]庚烷-...  (-)-1,7-二甲基-7-(4-甲基-3-戊烯基...  六氢-1-(2-吡啶基)-2H-氮杂卓-2-酮  N-(4-(9-吖啶基氨基)-2-甲氧基苯基)甲烷...  4-甲酰基苯氧基乙酸乙酯  2-(4-甲酰基苯氧基)丙酸乙酯  2-(4-甲酰基-苯氧基)-丙酸  1,1'-(1,3-亚苯基)二[3-甲基吡咯烷-2...  木糖基蔗糖  炔诺酮-4beta,5beta-环氧化物  左炔诺孕酮-4beta,5beta-环氧化物