Online Database of Chemicals from Around the World

N-(2-氨基乙基)-N-(2-(辛基氨基)乙基)甘氨酸单盐酸盐与 N,N-二(2-(辛基氨基)乙基)甘氨酸单盐酸盐混合物
[CAS# 50808-48-5]

供应商
CAS#: 50808-48-5
产品: N-(2-氨基乙基)-N-(2-(辛基氨基)乙基)甘氨酸单盐酸盐与 N,N-二(2-(辛基氨基)乙基)甘氨酸单盐酸盐混合物
暂时没有厂家供应该产品。
基本信息
产品名称 N-(2-氨基乙基)-N-(2-(辛基氨基)乙基)甘氨酸单盐酸盐与 N,N-二(2-(辛基氨基)乙基)甘氨酸单盐酸盐混合物
英文名 N-(2-Aminoethyl)-N-(2-(octylamino)ethyl)glycine monohydrochloride, mixt. with N,N-bis(2-(octylamino)ethyl)glycine monohydrochloride
别名 2-[2-Aminoethyl-[2-(Octylamino)Ethyl]Amino]Ethanoic Acid; 2-[Bis[2-(Octylamino)Ethyl]Amino]Ethanoic Acid; Dihydrochloride; E 10; E 10 (Pharmaceutical)
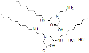
分子结构 CAS 登录号:50808-48-5, N-(2-氨基乙基)-N-(2-(辛基氨基)乙基)甘氨酸单盐酸盐与 N,N-二(2-(辛基氨基)乙基)甘氨酸单盐酸盐混合物
分子式 C36H80Cl2N6O4
分子量 731.97
CAS 登录号 50808-48-5
分子行输入简码 SMILES [H+].[H+].C(CCNCCN(CCNCCCCCCCC)CC(O)=O)CCCCC.[Cl-].[Cl-].C(CCCCC)CCNCCN(CCN)CC(O)=O
国际化学标识码 InChI 1S/C22H47N3O2.C14H31N3O2.2ClH/c1-3-5-7-9-11-13-15-23-17-19-25(21-22(26)27)20-18-24-16-14-12-10-8-6-4-2;1-2-3-4-5-6-7-9-16-10-12-17(11-8-15)13-14(18)19;;/h23-24H,3-21H2,1-2H3,(H,26,27);16H,2-13,15H2,1H3,(H,18,19);2*1H
国际化学标识检索码 InChIKey UIBXDKWEVWRQCV-UHFFFAOYSA-N
物理化学性质
沸点 509.3°C at 760 mmHg (计算值)
闪点 261.8°C (计算值)
市场分析报告
请浏览N-(2-氨基乙基)-N-(2-(辛基氨基)乙基)甘氨酸单盐酸盐与 N,N-二(2-(辛基氨基)乙基)甘氨酸单盐酸盐混合物市场分析报告总目录
相关产品
Ornade  山梨醇酐己酸酯  2,2,3,3,4,4,5,5,6,6,7,7,8...  美鼠李甙  4-[[4-[(2-苯基-1H-吲哚-3-基)偶氮...  4,4'-二[(4-羟基-2-甲基苯基)偶氮]二苯...  (5-氯-2-甲基-3(2H)-异噻唑啉酮-O)二...  1-(3-二甲基氨基丙基)-3-吡咯啉-2,5-苯...  2-苯并三唑-2-基-4-甲基苯酚  2-(9-十二碳炔基氧基)四氢-2H-吡喃  5,10-二羟基-2,2-二甲基-12-(3-甲基...  密花棉毛叶菊素甲基丙烯酸酯  4-氯-1H,3H-萘并[1,8-cd]吡喃-1,...  3-乙基-2-磺酸基苯并噻唑鎓内盐  2,3-二甲基-2-戊醇