Online Database of Chemicals from Around the World

N2'-Deacetyl-15-Hydroxy-N2'-(2-Methyl-1-Oxopropyl)Maytansine
[CAS# 50657-33-5]

Suppliers
CAS#: 50657-33-5
Product: N2'-Deacetyl-15-Hydroxy-N2'-(2-Methyl-1-Oxopropyl)Maytansine
No suppilers available for the product.
Identification
Name N2'-Deacetyl-15-Hydroxy-N2'-(2-Methyl-1-Oxopropyl)Maytansine
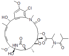
Molecular Structure CAS#: 50657-33-5, N2'-Deacetyl-15-Hydroxy-N2'-(2-Methyl-1-Oxopropyl)Maytansine
Molecular Formula C36H50ClN3O11
Molecular Weight 736.26
CAS Registry Number 50657-33-5
SMILES N3(C(=O)C[C@H](OC(=O)C(N(C(=O)C(C)C)C)C)[C@@]1(O[C@H]1[C@@H]([C@H]2OC(=O)N[C@](O)(C2)[C@H](OC)\C=C\C=C(C(O)C4=CC3=C(Cl)C(=C4)OC)/C)C)C)C
InChI 1S/C36H50ClN3O11/c1-18(2)32(43)39(7)21(5)33(44)50-27-16-28(41)40(8)23-14-22(15-24(47-9)29(23)37)30(42)19(3)12-11-13-26(48-10)36(46)17-25(49-34(45)38-36)20(4)31-35(27,6)51-31/h11-15,18,20-21,25-27,30-31,42,46H,16-17H2,1-10H3,(H,38,45)/b13-11+,19-12+/t20-,21?,25+,26-,27+,30?,31+,35+,36+/m1/s1
InChIKey CJFMMFRLGXTVGK-MSCMCLLASA-N
Properties
Density 1.329g/cm3 (Cal.)
Boiling point 931.745°C at 760 mmHg (Cal.)
Flash point 517.301°C (Cal.)
Market Analysis Reports
List of Reports Available for N2'-Deacetyl-15-Hydroxy-N2'-(2-Methyl-1-Oxopropyl)Maytansine
Related Products
Benzylidene Bismethacrylate  2,2,2-Trichloroethylidene Dimethacrylate  2-Propenoic Acid, 3-Hydroxypropyl Ester,...  Disodium 2,5-Dichloro-4-[4,5-Dihydro-4-[...  Dysprosium Carbonate  Dimethylberyllium  Aza-epsilon-Amp  Aza-epsilon-Atp  2-Aza-1, N6-Ethenoadenosine-3',5'-Cyclic...  Beryllium Acetylide  3,3-Bis(1-Ethyl-2-Methyl-1H-Indol-3-Yl)-...  13-Methyl-3,6,9,12-Tetraoxatetradecan-1-...  2,3-Dihydro-2,3-Dihydroxyaflatoxin B1  N-(3-Amino-4-Chlorophenyl)-2-(2,4-Di-Ter...  Dopamine Quinone