Online Database of Chemicals from Around the World

N2-环丙基-N2,2-二甲基-1,2-丙烷二胺
[CAS# 486414-31-7]

供应商
深圳爱拓化学有限公司 中国 询价快递  
+86 13417589054//+86 13424336463
info@atomaxchem.com,atomax.chemicals@gmail.com,
QQ 交流
化学品生产商
Otava Ltd. 乌克兰 询价快递  
+380 (44) 522-2458
order@otavachemicals.com
化学品生产商(1997 年起)
基本信息
产品名称 N2-环丙基-N2,2-二甲基-1,2-丙烷二胺
英文名 N2-Cyclopropyl-N2,2-Dimethyl-1,2-Propanediamine
别名 N2-cyclopropyl-N2,2-dimethylpropane-1,2-diamine
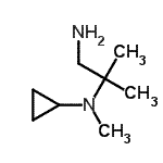
分子结构 CAS 登录号:486414-31-7, N<sup>2</sup>-环丙基-N<sup>2</sup>,2-二甲基-1,2-丙烷二胺
分子式 C8H18N2
分子量 142.24
CAS 登录号 486414-31-7
分子行输入简码 SMILES CC(C)(CN)N(C)C1CC1
国际化学标识码 InChI 1S/C8H18N2/c1-8(2,6-9)10(3)7-4-5-7/h7H,4-6,9H2,1-3H3
国际化学标识检索码 InChIKey WYMKDMBBFGZCND-UHFFFAOYSA-N
物理化学性质
密度 0.926g/cm3 (计算值)
沸点 189.895°C at 760 mmHg (计算值)
闪点 66.52°C (计算值)
折射率 1.491 (计算值)
市场分析报告
请浏览N2-环丙基-N2,2-二甲基-1,2-丙烷二胺市场分析报告总目录
相关产品
1-[(2S)-1-甲基-2-哌啶基]甲胺  (2R)-1-(1-哌啶基)-2-丙胺  (3R,5S)-3,5-二甲基-1-哌嗪甲腈  1-(4-甲基-1-哌嗪基)-2-丙胺  1-(2,6-二氟-4-甲基-苯基)乙酮  (1S)-1-[(2S)-1-甲基-2-吡咯烷基]...  [(2S)-1,2-二甲基吡咯烷-2-基]甲胺  N,N-二甲基-4-(4,4,5,5-四甲基-1,...  N,N-二甲基-3-(4,4,5,5-四甲基-1,...  N,N-二甲基-2-(4,4,5,5-四甲基-1,...  3-(4,4,5,5-四甲基-1,3,2-二氧杂环...  1-(3-溴苯基)磺酰基-4-甲基-哌嗪  4-[(二甲基氨基)甲基]-3-吡啶胺  7A-乙氧基-6-甲基-2,3,5,7A-四氢呋喃...  2,6-二甲基-2,3-二氢呋喃并[2,3-b]吡...