基本信息
| 产品名称 |
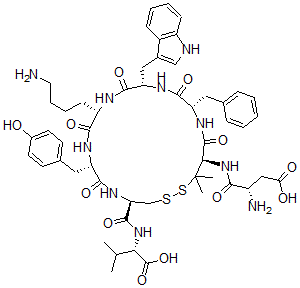
天冬氨酰-青霉胺-苯丙氨酰-色氨酰-赖氨酰-酪氨酰-半胱氨酰-缬氨酰 |
| 英文名 |
Asp-pen-phe-trp-lys-tyr-cys-val |
| 别名 |
Asp-Pen-Phe-Trp-Lys-Tyr-Cys-Val (Disulfide Bridge Pen5-Cys10); [PEN5]-UROTENSIN II (HUMAN, 4-11); [PEN5]UROTENSIN II (4-11), HUMAN |
|
| 分子结构 |
 |
| 分子式 |
C52H68N10O12S2 |
| 分子量 |
1089.29 |
| CAS 登录号 |
473902-31-7 |
| 分子行输入简码 SMILES |
NCCCC[C@@H]1NC(=O)[C@@H](NC(=O)[C@H](Cc2ccccc2)NC(=O)[C@@H](NC(=O)[C@H](CC(=O)O)N)C(SSC[C@H](NC(=O)[C@@H](NC1=O)Cc1ccc(cc1)O)C(=O)N[C@H](C(=O)O)C(C)C)(C)C)Cc1c[nH]c2c1cccc2 |
| 国际化学标识码 InChI |
1S/C52H68N10O12S2/c1-28(2)42(51(73)74)61-49(71)40-27-75-76-52(3,4)43(62-44(66)34(54)25-41(64)65)50(72)59-38(22-29-12-6-5-7-13-29)46(68)58-39(24-31-26-55-35-15-9-8-14-33(31)35)48(70)56-36(16-10-1 |
|