Online Database of Chemicals from Around the World

1-丁基-2-异丁基环丙烷
[CAS# 41977-35-9]

供应商
Achemica 瑞士 询价快递  
+41 (24) 466-2929
contact@achemica.com
化学品生产商(2010 年起)
基本信息
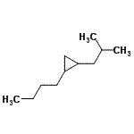
产品名称 1-丁基-2-异丁基环丙烷
英文名 1-Butyl-2-Isobutylcyclopropane
别名 1-Butyl-2-isobutylcyclopropane #
分子结构 CAS 登录号:41977-35-9, 1-丁基-2-异丁基环丙烷
分子式 C11H22
分子量 154.29
CAS 登录号 41977-35-9
分子行输入简码 SMILES C(CCC1CC1CC(C)C)C
国际化学标识码 InChI 1S/C11H22/c1-4-5-6-10-8-11(10)7-9(2)3/h9-11H,4-8H2,1-3H3
国际化学标识检索码 InChIKey UZAQQXHNICZPBU-UHFFFAOYSA-N
物理化学性质
密度 0.792g/cm3 (计算值)
沸点 185.704°C at 760 mmHg (计算值)
闪点 57.115°C (计算值)
市场分析报告
请浏览1-丁基-2-异丁基环丙烷市场分析报告总目录
相关产品
1-甲基-2-戊基环丙烷  1,1-二甲基-2-壬基环丙烷  1-异丙基-2-壬基环丙烷  1-甲基-1-(3-甲基-2-丁烷基)-2-壬基环...  2-异丁基-1,1,3-三甲基环丙烷  N-(1,3-苯并噻唑-2-基硫基)-2-丙烯-1...  2,5-二乙基-4-甲基-1,3-噻唑  2-[2-(甲硫基)乙基]-1H-苯并咪唑  钾辛基氢磷酸酯  3-氨基-N-甲基-1H-1,2,4-三唑-1-甲...  6-甲基-4-(甲基氨基)-2(1H)-嘧啶酮  乙基1-甲基-D-脯氨酸酯  (2R,3R)-2-异丙基-3-苯基氮丙啶  (2E)-2-(氨基甲基)-3-甲基-2-庚烯腈  (2E)-2-(氨基甲基)-3,4,4-三甲基-2...