Online Database of Chemicals from Around the World

3-[(2-异丙氧基乙氧基)亚氨基甲基]利福霉素 SV
[CAS# 41970-62-1]

供应商
CAS#: 41970-62-1
产品: 3-[(2-异丙氧基乙氧基)亚氨基甲基]利福霉素 SV
暂时没有厂家供应该产品。
基本信息
产品名称 3-[(2-异丙氧基乙氧基)亚氨基甲基]利福霉素 SV
英文名 3-[(2-Isopropoxyethoxy)Iminomethyl]Rifamycin SV
别名 3-Formylrifamycin Sv O-(2-Isopropoxyethyl)Oxime; Brn 5418515
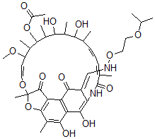
分子结构 CAS 登录号:41970-62-1, 3-[(2-异丙氧基乙氧基)亚氨基甲基]利福霉素 SV
分子式 C43H58N2O14
分子量 826.94
CAS 登录号 41970-62-1
分子行输入简码 SMILES C(ON/C=C2/C(=O)C1=C3C(=C(C4=C1C(=O)C(O/C=C/C(OC)C(C(OC(=O)C)C(C(O)C(C(O)C(C)\C=C\C=C(C(=O)NC2=C3O)\C)C)C)C)(O4)C)C)O)COC(C)C
国际化学标识码 InChI 1S/C43H58N2O14/c1-20(2)55-17-18-57-44-19-28-33-38(51)31-30(37(28)50)32-40(26(8)36(31)49)59-43(10,41(32)52)56-16-15-29(54-11)23(5)39(58-27(9)46)25(7)35(48)24(6)34(47)21(3)13-12-14-22(4)42(53)45-33/h12-16,19-21,23-25,29,34-35,39,44,47-49,51H,17-18H2,1-11H3,(H,45,53)/b13-12+,16-15+,22-14-,28-19+
国际化学标识检索码 InChIKey BNYLZJKVKIHHRZ-CIMIRZFZSA-N
市场分析报告
请浏览3-[(2-异丙氧基乙氧基)亚氨基甲基]利福霉素 SV市场分析报告总目录
相关产品
3-[(2-甲基-2-丙烯基)氧基亚氨基甲基]利福...  3-[(4-苯氧基丁氧基)亚氨基甲基]利福霉素  3-[(2,4-二氯苄氧基)亚氨基甲基]利福霉素 ...  10-[2-(二甲基氨基)乙基]-5H-二苯并[b...  2-[(4-氯-6-甲氧基-1,3,5-三嗪-2-...  2-丁基氢醌  2-丁基对苯醌  1-丁基-1-甲基-2-丙基环丙烷  1-甲基-1-(1-甲基乙基)-2-壬基环丙烷  1-甲基-1-(2-甲基丙基)-2-壬基环丙烷  7-戊基双环[4.1.0]庚烷  2-异丁基对苯醌  哌啶-2,6-二甲腈  5,5'-(丙烷-1,3-二基)二咪唑烷-2,4-...  4-丙基噻唑