Online Database of Chemicals from Around the World

3-[[[(3,7,11-三甲基-2,6,10-十二碳三烯基)氧基]亚氨基]甲基]利福霉素
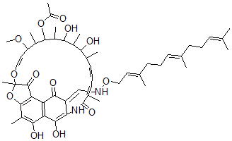
[CAS# 41887-55-2]

供应商
CAS#: 41887-55-2
产品: 3-[[[(3,7,11-三甲基-2,6,10-十二碳三烯基)氧基]亚氨基]甲基]利福霉素
暂时没有厂家供应该产品。
基本信息
产品名称 3-[[[(3,7,11-三甲基-2,6,10-十二碳三烯基)氧基]亚氨基]甲基]利福霉素
英文名 3-[[[(3,7,11-Trimethyl-2,6,10-Dodecatrienyl)Oxy]Imino]Methyl]Rifamycin
别名 3-Formylrifamycin Sv O-Farnesyloxime; Brn 5419057
分子结构 CAS 登录号:41887-55-2, 3-[[[(3,7,11-三甲基-2,6,10-十二碳三烯基)氧基]亚氨基]甲基]利福霉素
分子式 C53H72N2O13
分子量 945.16
CAS 登录号 41887-55-2
分子行输入简码 SMILES C(ON/C=C2/C(=O)C1=C3C(=C(C4=C1C(=O)C(O/C=C/C(OC)C(C(OC(=O)C)C(C(O)C(C(O)C(C)\C=C\C=C(C(=O)NC2=C3O)\C)C)C)C)(O4)C)C)O)\C=C(\CC\C=C(\CCC=C(C)C)C)C
国际化学标识码 InChI 1S/C53H72N2O13/c1-28(2)17-14-18-29(3)19-15-20-30(4)23-26-66-54-27-38-43-48(61)41-40(47(38)60)42-50(36(10)46(41)59)68-53(12,51(42)62)65-25-24-39(64-13)33(7)49(67-37(11)56)35(9)45(58)34(8)44(57)31(5)21-16-22-32(6)52(63)55-43/h16-17,19,21-25,27,31,33-35,39,44-45,49,54,57-59,61H,14-15,18,20,26H2,1-13H3,(H,55,63)/b21-16+,25-24+,29-19+,30-23+,32-22-,38-27+
国际化学标识检索码 InChIKey ZOIWKGLFFOLYQE-FAMXPQBESA-N
市场分析报告
请浏览3-[[[(3,7,11-三甲基-2,6,10-十二碳三烯基)氧基]亚氨基]甲基]利福霉素市场分析报告总目录
相关产品
3-[(2-乙氧基乙氧基)亚氨基甲基]利福霉素 S...  1-苯并硫杂卓 1,1-二氧化物  3-(2-甲基-5-氧代-2-恶唑啉-4-亚基甲基...  苯甲酰基降爱康宁  2-乙基丁酸 2,2,2-三氯乙基酯  2-(癸基硫代)乙醇  2,2'-[十二烷-1,12-二基二(硫代)]二乙...  (3-氯-2-羟基丙基)十二烷基二甲基氯化铵  1-乙基氧代琥珀酸酯钠盐  3-氨基-4-(二乙基氨基)苯磺酰胺  2-羟基丙基溴乙酸酯  2,5-二氢-1H-吡唑-3-胺二盐酸盐  3b,16b-二(乙酰氧基)-14,15b-环氧-...  N-磷酰脒基牛磺酸  [1,1'-联苯]-2,3',4-三醇