Online Database of Chemicals from Around the World

3-(Allyloxyiminomethyl)Rifamycin SV
[CAS# 41776-63-0]

Suppliers
CAS#: 41776-63-0
Product: 3-(Allyloxyiminomethyl)Rifamycin SV
No suppilers available for the product.
Identification
Name 3-(Allyloxyiminomethyl)Rifamycin SV
Synonyms 3-Formylrifamycin Sv O-Allyloxime; Brn 5418268
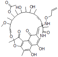
Molecular Structure CAS#: 41776-63-0, 3-(Allyloxyiminomethyl)Rifamycin SV
Molecular Formula C41H52N2O13
Molecular Weight 780.87
CAS Registry Number 41776-63-0
SMILES C(ON/C=C2/C(=O)C1=C3C(=C(C4=C1C(=O)C(O/C=C/C(OC)C(C(OC(=O)C)C(C(O)C(C(O)C(C)\C=C\C=C(C(=O)NC2=C3O)\C)C)C)C)(O4)C)C)O)C=C
InChI 1S/C41H52N2O13/c1-11-16-54-42-18-26-31-36(49)29-28(35(26)48)30-38(24(7)34(29)47)56-41(9,39(30)50)53-17-15-27(52-10)21(4)37(55-25(8)44)23(6)33(46)22(5)32(45)19(2)13-12-14-20(3)40(51)43-31/h11-15,17-19,21-23,27,32-33,37,42,45-47,49H,1,16H2,2-10H3,(H,43,51)/b13-12+,17-15+,20-14-,26-18+
InChIKey BXSLMNMYKCVGHJ-ZYOMNRCASA-N
Market Analysis Reports
List of Reports Available for 3-(Allyloxyiminomethyl)Rifamycin SV
Related Products
3-[(2-Propynyl)Oxyiminomethyl]Rifamycin ...  3-(Cyclohexyloxyiminomethyl)Rifamycin SV  3-[(2-Methoxyethoxy)Iminomethyl]Rifamyci...  3-[(1-Methylhexyl)Oxyiminomethyl]Rifamyc...  2,5-Diethyl-2,5-(Epoxymethano)-1,3-Dioxa...  Acroptilin  trans-3-Bromodihydro-3,5-Dimethylfuran-2...  3-Chloro-N-Methylpropanamide  2-N-Octylfuran  9,12-Dioxooctadecanoic Acid  2-(4-Dibenzofuranyloxy)-2-Methylpropioni...  Ethyl 2-dibenzofuran-4-yloxy-2-methylpro...  (1-Piperidin-1-Yl-Cyclohexyl)-Methylamin...  4-(2,3-Dihydroxypropoxy)Benzoic Acid  [1-(Chlorocarbonyl)Cyclohexyl]Ammonium C...