基本信息
| 产品名称 |
4-(4-联苯基氧基)-6-(3,5-二甲基-1H-吡唑-1-基)嘧啶 |
| 英文名 |
4-(4-Biphenylyloxy)-6-(3,5-Dimethyl-1H-Pyrazol-1-Yl)Pyrimidine |
| 别名 |
4-(4-biphenylyloxy)-6-(3,5-dimethyl-1H-pyrazol-1-yl)pyrimidine; Pyrimidine, 4-([1,1'-biphenyl]-4-yloxy)-6-(3,5-dimethyl-1H-pyrazol-1-yl)- |
|
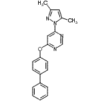
| 分子结构 |
 |
| 分子式 |
C21H18N4O |
| 分子量 |
342.39 |
| CAS 登录号 |
413620-31-2 |
| 分子行输入简码 SMILES |
n2cnc(n1nc(cc1C)C)cc2Oc4ccc(c3ccccc3)cc4 |
| 国际化学标识码 InChI |
1S/C21H18N4O/c1-15-12-16(2)25(24-15)20-13-21(23-14-22-20)26-19-10-8-18(9-11-19)17-6-4-3-5-7-17/h3-14H,1-2H3 |
| 国际化学标识检索码 InChIKey |
RYTOJLYOAOIAMT-UHFFFAOYSA-N |
|