Online Database of Chemicals from Around the World

十四氢-两性霉素 B
[CAS# 40904-73-2]

供应商
CAS#: 40904-73-2
产品: 十四氢-两性霉素 B
暂时没有厂家供应该产品。
基本信息
产品名称 十四氢-两性霉素 B
英文名 Tetradecahydro-Amphotericin B
别名 (1S,3S,18S,19R,20R,21S,25R,27R,30R,31R,33S,35R,37S,38R)-3-[(2R,3S,4S,5S,6R)-4-Amino-3,5-Dihydroxy-6-Methyl-Tetrahydropyran-2-Yl]Oxy-19,25,27,30,31,33,35,37-Octahydroxy-18,20,21-Trimethyl-23-Oxo-22,39-Dioxabicyclo[33.3.1]Nonatriacontane-38-Carboxylic Acid; (1S,3S,18S,19R,20R,21S,25R,27R,30R,31R,33S,35R,37S,38R)-3-[[(2R,3S,4S,5S,6R)-4-Amino-3,5-Dihydroxy-6-Methyl-2-Tetrahydropyranyl]Oxy]-19,25,27,30,31,33,35,37-Octahydroxy-18,20,21-Trimethyl-23-Oxo-22,39-Dioxabicyclo[33.3.1]Nonatriacontane-38-Carboxylic Acid; (1S,3S,18S,19R,20R,21S,25R,27R,30R,31R,33S,35R,37S,38R)-3-[(2R,3S,4S,5S,6R)-4-Amino-3,5-Dihydroxy-6-Methyl-Tetrahydropyran-2-Yl]Oxy-19,25,27,30,31,33,35,37-Octahydroxy-23-Keto-18,20,21-Trimethyl-22,39-Dioxabicyclo[33.3.1]Nonatriacontane-38-Carboxylic Acid
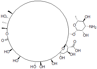
分子结构 CAS 登录号:40904-73-2, 十四氢-两性霉素 B
分子式 C47H87NO17
分子量 938.20
CAS 登录号 40904-73-2
分子行输入简码 SMILES [C@@H]13O[C@@](O)(C[C@H](O)[C@H]1C(=O)O)C[C@@H](O)C[C@@H](O)[C@H](O)CC[C@@H](O)C[C@@H](O)CC(O[C@H]([C@@H]([C@H](O)[C@H](CCCCCCCCCCCCCC[C@H](O[C@@H]2O[C@@H]([C@@H](O)[C@H](N)[C@@H]2O)C)C3)C)C)C)=O
国际化学标识码 InChI 1S/C47H87NO17/c1-27-17-15-13-11-9-7-5-6-8-10-12-14-16-18-34(64-46-44(58)41(48)43(57)30(4)63-46)24-38-40(45(59)60)37(54)26-47(61,65-38)25-33(51)22-36(53)35(52)20-19-31(49)21-32(50)23-39(55)62-29(3)28(2)42(27)56/h27-38,40-44,46,49-54,56-58,61H,5-26,48H2,1-4H3,(H,59,60)/t27-,28-,29-,30+,31+,32+,33-,34-,35+,36+,37-,38-,40+,41-,42+,43+,44-,46-,47+/m0/s1
国际化学标识检索码 InChIKey BYZLGLVPMUDPED-KKGHZKTASA-N
物理化学性质
密度 1.274g/cm3 (计算值)
沸点 1097.086°C at 760 mmHg (计算值)
闪点 617.296°C (计算值)
市场分析报告
请浏览十四氢-两性霉素 B市场分析报告总目录
相关产品
2,2'-氧基二[5,5-二甲基-1,3,2-二氧...  2,2'-氧基二[5,5-二甲基-1,3,2-二氧...  [二[(三氟甲基)磺酰基]甲基]苯  N-[[[(S)-4-[(氨基亚胺甲基)氨基]-1...  4-(丁基亚硝基氨基)-2-丁醇  二氯甲基 O,O-二苯基膦酸酯  N-苯基-N-乙烯基乙酰胺  (3,4,5-三甲氧基苯甲酰基)氨基]乙酸  二[(R)-(异丙基)(beta,3,4-三羟基苯...  2-[(2-氯苯基)甲基]丙二腈  2-甲基-2-[4-[5-(3-吡啶基)-1,2,...  6-(1,1-二甲基乙基)-3-异丙基异噻唑并[3...  3-氯-1-吩噻嗪-10-基-丙-1-酮  4-烯丙基 2-磺酸基琥珀酸酯二钠  三氮唑核苷-5'-磷酸酯