Online Database of Chemicals from Around the World

亚麻酰-辅酶 A
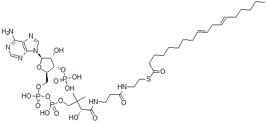
[CAS# 40757-80-0]

供应商
CAS#: 40757-80-0
产品: 亚麻酰-辅酶 A
暂时没有厂家供应该产品。
基本信息
产品名称 亚麻酰-辅酶 A
英文名 Linoleoyl-Coenzyme A
别名 S-[2-[3-[[(2R)-4-[[[(2R,3S,4R,5R)-5-(6-Aminopurin-9-Yl)-4-Hydroxy-3-Phosphonooxy-Tetrahydrofuran-2-Yl]Methoxy-Hydroxy-Phosphoryl]Oxy-Hydroxy-Phosphoryl]Oxy-2-Hydroxy-3,3-Dimethyl-Butanoyl]Amino]Propanoylamino]Ethyl] (9E,12E)-Octadeca-9,12-Dienethioate; (9E,12E)-Octadeca-9,12-Dienethioic Acid S-[2-[[3-[[(2R)-4-[[[(2R,3S,4R,5R)-5-(6-Amino-9-Purinyl)-4-Hydroxy-3-Phosphonooxy-2-Tetrahydrofuranyl]Methoxy-Hydroxyphosphoryl]Oxy-Hydroxyphosphoryl]Oxy-2-Hydroxy-3,3-Dimethyl-1-Oxobutyl]Amino]-1-Oxopropyl]Amino]Ethyl] Ester; (9E,12E)-Octadeca-9,12-Dienethioic Acid S-[2-[3-[[(2R)-4-[[[(2R,3S,4R,5R)-5-(6-Aminopurin-9-Yl)-4-Hydroxy-3-Phosphonooxy-Tetrahydrofuran-2-Yl]Methoxy-Hydroxy-Phosphoryl]Oxy-Hydroxy-Phosphoryl]Oxy-2-Hydroxy-3,3-Dimethyl-Butanoyl]Amino]Propanoylamino]Ethyl] Ester
分子结构 CAS 登录号:40757-80-0, 亚麻酰-辅酶 A
分子式 C39H66N7O17P3S
分子量 1029.97
CAS 登录号 40757-80-0
分子行输入简码 SMILES [C@H]1(O[C@@H]([C@@H](O[P](=O)(O)O)[C@H]1O)CO[P](O[P](OCC([C@@H](O)C(=O)NCCC(=O)NCCSC(=O)CCCCCCC\C=C\C\C=C\CCCCC)(C)C)(=O)O)(=O)O)[N]2C3=C(N=C2)C(=NC=N3)N
国际化学标识码 InChI 1S/C39H66N7O17P3S/c1-4-5-6-7-8-9-10-11-12-13-14-15-16-17-18-19-30(48)67-23-22-41-29(47)20-21-42-37(51)34(50)39(2,3)25-60-66(57,58)63-65(55,56)59-24-28-33(62-64(52,53)54)32(49)38(61-28)46-27-45-31-35(40)43-26-44-36(31)46/h8-9,11-12,26-28,32-34,38,49-50H,4-7,10,13-25H2,1-3H3,(H,41,47)(H,42,51)(H,55,56)(H,57,58)(H2,40,43,44)(H2,52,53,54)/b9-8+,12-11+/t28-,32-,33-,34+,38-/m1/s1
国际化学标识检索码 InChIKey YECLLIMZHNYFCK-RQHJKPPISA-N
物理化学性质
密度 1.512g/cm3 (计算值)
市场分析报告
请浏览亚麻酰-辅酶 A市场分析报告总目录
相关产品
三甲基-戊-2-炔基-铵碘化物  三甲基-[2-[(2-氧代吡咯烷-1-基)甲氧基]...  诺利溴铵  二甲基腺苷酰胺  3-亚甲基戊烷-1,5-二醇  N-(鸟苷-8-基)-2-氨基芴  2-乙基己烷磺酸钠  2,2-二[(环氧乙烷基甲氧基)甲基]丙烷-1,3...  2-氨基-5-(4-氨基苯氧基)苯甲酰胺  美喹他嗪亚砜  (1-苯基乙基)二甲苯  N(2)-苯基鸟嘌呤  9-硫杂-2,4,7-三氮杂双环[4.3.0]壬-...  1,1,4,4-四氟-1,3-丁二烯  硫代硫酸氢 S-[2-[[5-[(5-氯-2-吡啶...