Online Database of Chemicals from Around the World

3b-[[3-O,4-O-(1-乙基壬亚基)-2,6-二脱氧-beta-D-核-己糖吡喃糖苷]氧基]-5,14-二羟基-19-氧代-5b-心甾-20(22)-烯内酯
[CAS# 40279-49-0]

供应商
CAS#: 40279-49-0
产品: 3b-[[3-O,4-O-(1-乙基壬亚基)-2,6-二脱氧-beta-D-核-己糖吡喃糖苷]氧基]-5,14-二羟基-19-氧代-5b-心甾-20(22)-烯内酯
暂时没有厂家供应该产品。
基本信息
产品名称 3b-[[3-O,4-O-(1-乙基壬亚基)-2,6-二脱氧-beta-D-核-己糖吡喃糖苷]氧基]-5,14-二羟基-19-氧代-5b-心甾-20(22)-烯内酯
英文名 3b-[[3-O,4-O-(1-Ethylnonylidene)-2,6-Dideoxy-beta-D-Ribo-Hexopyranosyl]Oxy]-5,14-Dihydroxy-19-Oxo-5b-Card-20(22)-Enolide
别名 (3R,5S,10S,13R,14S,17R)-3-[[(3Ar,6R)-2-Ethyl-4-Methyl-2-Octyl-4,6,7,7A-Tetrahydro-3Ah-[1,3]Dioxolo[4,5-D]Pyran-6-Yl]Oxy]-5,14-Dihydroxy-13-Methyl-17-(5-Oxo-2H-Furan-3-Yl)-2,3,4,6,7,8,9,11,12,15,16,17-Dodecahydro-1H-Cyclopenta[A]Phenanthrene-10-Carboxaldehyde; (3R,5S,10S,13R,14S,17R)-3-[[(3Ar,6R)-2-Ethyl-4-Methyl-2-Octyl-4,6,7,7A-Tetrahydro-3Ah-[1,3]Dioxolo[4,5-D]Pyran-6-Yl]Oxy]-5,14-Dihydroxy-17-(5-Keto-2H-Furan-3-Yl)-13-Methyl-2,3,4,6,7,8,9,11,12,15,16,17-Dodecahydro-1H-Cyclopenta[A]Phenanthrene-10-Carbaldehyde; 5-Beta-Card-20(22)-Enolide, 3-Beta-((2,6-Dideoxy-3,4-O-(1-Ethylnonylidene)-Beta-
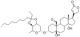
分子结构 CAS 登录号:40279-49-0, 3b-[[3-O,4-O-(1-乙基壬亚基)-2,6-二脱氧-beta-D-核-己糖吡喃糖苷]氧基]-5,14-二羟基-19-氧代-5b-心甾-20(22)-烯内酯
分子式 C40H62O9
分子量 686.92
CAS 登录号 40279-49-0
分子行输入简码 SMILES [C@@]56(O)C1C([C@@]4([C@](O)(CC1)C[C@H](O[C@@H]3OC([C@H]2OC(OC2C3)(CCCCCCCC)CC)C)CC4)C=O)CC[C@@]5([C@H](CC6)C7=CC(OC7)=O)C
国际化学标识码 InChI 1S/C40H62O9/c1-5-7-8-9-10-11-16-39(6-2)48-32-22-34(46-26(3)35(32)49-39)47-28-12-18-37(25-41)30-13-17-36(4)29(27-21-33(42)45-24-27)15-20-40(36,44)31(30)14-19-38(37,43)23-28/h21,25-26,28-32,34-35,43-44H,5-20,22-24H2,1-4H3/t26?,28-,29-,30?,31?,32?,34+,35-,36-,37+,38+,39?,40+/m1/s1
国际化学标识检索码 InChIKey ITLPNNVWSWFOJO-CYFWAWKSSA-N
物理化学性质
密度 1.213g/cm3 (计算值)
沸点 775.852°C at 760 mmHg (计算值)
闪点 230.326°C (计算值)
市场分析报告
请浏览3b-[[3-O,4-O-(1-乙基壬亚基)-2,6-二脱氧-beta-D-核-己糖吡喃糖苷]氧基]-5,14-二羟基-19-氧代-5b-心甾-20(22)-烯内酯市场分析报告总目录
相关产品
3b-[[3-O,4-O-(1-甲基-4-己烯亚基...  N-(苯磺酰基)-D-苯丙氨酸  (Αr)-Α-[[(4-溴苯基)磺酰基]氨基]苯丙...  3-(二甲基氨基)-1-(1H-吲哚-3-基)-2...  1-(1H-吲哚-3-基)-3-(4-甲基-1-哌...  二硝基环己烷  甲基(3-氯丙基)(2,2-二氯乙烯基)磷酸酯  4,4'-二[[4-[(2-羟基乙基)氨基]-6-...  4,4'-二[[4-[二(2-羟基乙基)氨基]-6...  硫代硫酸氢 S-[2-亚氨基-2-[(3-甲基丁基...  硫代硫酸氢 S-[2-(环丙基氨基)-2-亚氨基乙...  硫代硫酸氢 S-[2-[(环戊基甲基)氨基]-2-...  硫代硫酸氢 S-[2-(环己基氨基)-2-亚氨基乙...  硫代硫酸氢 S-[2-[(环己基甲基)氨基]-2-...  硫代硫酸氢 S-[2-[(2-环己基乙基)氨基]-...