Online Database of Chemicals from Around the World

镓N-[3-[5,17-二[3-(乙酰基-氧代氨基)丙基]-3,6,9,12,15,18-六氧代-1,4,7,10,13,16-六氮杂十八碳-2-基]丙基]-N-氧代乙酰胺
[CAS# 39000-29-8]

供应商
CAS#: 39000-29-8
产品: 镓N-[3-[5,17-二[3-(乙酰基-氧代氨基)丙基]-3,6,9,12,15,18-六氧代-1,4,7,10,13,16-六氮杂十八碳-2-基]丙基]-N-氧代乙酰胺
暂时没有厂家供应该产品。
基本信息
产品名称 镓N-[3-[5,17-二[3-(乙酰基-氧代氨基)丙基]-3,6,9,12,15,18-六氧代-1,4,7,10,13,16-六氮杂十八碳-2-基]丙基]-N-氧代乙酰胺
英文名 Gallium N-[3-[5,17-Bis[3-(Acetyl-Oxidoamino)Propyl]-3,6,9,12,15,18-Hexaoxo-1,4,7,10,13,16-Hexazacyclooctadec-2-Yl]Propyl]-N-Oxidoacetamide
别名 Gallium N-[3-[5,17-Bis[3-(Acetyl-Oxido-Amino)Propyl]-3,6,9,12,15,18-Hexaoxo-1,4,7,10,13,16-Hexazacyclooctadec-2-Yl]Propyl]-N-Oxido-Acetamide; Gallium N-[3-[5,17-Bis[3-(Acetyl-Oxido-Amino)Propyl]-3,6,9,12,15,18-Hexaketo-1,4,7,10,13,16-Hexazacyclooctadec-2-Yl]Propyl]-N-Oxido-Acetamide; Gallium N-[3-[5,17-Bis[3-(Ethanoyl-Oxido-Amino)Propyl]-3,6,9,12,15,18-Hexaoxo-1,4,7,10,13,16-Hexazacyclooctadec-2-Yl]Propyl]-N-Oxido-Ethanamide
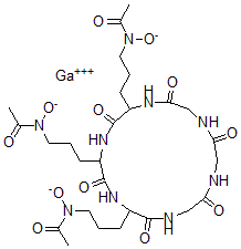
分子结构 CAS 登录号:39000-29-8, 镓N-[3-[5,17-二[3-(乙酰基-氧代氨基)丙基]-3,6,9,12,15,18-六氧代-1,4,7,10,13,16-六氮杂十八碳-2-基]丙基]-N-氧代乙酰胺
分子式 C27H42GaN9O12
分子量 754.40
CAS 登录号 39000-29-8
分子行输入简码 SMILES [Ga+3].C(C1NC(=O)C(NC(=O)CNC(=O)CNC(=O)CNC(=O)C(NC1=O)CCCN([O-])C(=O)C)CCCN([O-])C(=O)C)CCN([O-])C(=O)C
国际化学标识码 InChI 1S/C27H42N9O12.Ga/c1-16(37)34(46)10-4-7-19-25(43)30-14-23(41)28-13-22(40)29-15-24(42)31-20(8-5-11-35(47)17(2)38)26(44)33-21(27(45)32-19)9-6-12-36(48)18(3)39;/h19-21H,4-15H2,1-3H3,(H,28,41)(H,29,40)(H,30,43)(H,31,42)(H,32,45)(H,33,44);/q-3;+3
国际化学标识检索码 InChIKey PTVOLFPTQKGIHC-UHFFFAOYSA-N
市场分析报告
请浏览镓N-[3-[5,17-二[3-(乙酰基-氧代氨基)丙基]-3,6,9,12,15,18-六氧代-1,4,7,10,13,16-六氮杂十八碳-2-基]丙基]-N-氧代乙酰胺市场分析报告总目录
相关产品
2-二乙基氨基-N-(2,6-二甲基苯基)丙酰胺  二己基磷酸氢酯  1,8-二羟基-2,5-二硝基蒽-9,10-二酮  甲氧基-二(4-硝基苯氧基)-硫代膦烷  4-[5-(乙酰基-羟基氨基)戊基氨基]-2-[2...  [2-[(8S,9S,10R,13S,14S,17...  2-苯基-2-(2,4,6-三甲基苯基)乙酸  二乙酰基次氯血红素  钾叶绿酸A  3-(环丙基羰基)-1,2,3,4,5,6-六氢-...  4-[(Z)-4-(4-羟基苯基)己-4-烯-3-...  5-羟基-8-甲氧基-2,2-二甲基-7-(3-甲...  木藜芦毒素XIV  小柱孢菌素  2,6-二乙酰基-7,9-二羟基-8,9b-二甲基...