Online Database of Chemicals from Around the World

甲基亚油酸酯臭氧化物
[CAS# 37244-82-9]

供应商
CAS#: 37244-82-9
产品: 甲基亚油酸酯臭氧化物
暂时没有厂家供应该产品。
基本信息
产品名称 甲基亚油酸酯臭氧化物
英文名 Methyl Linoleate Ozonide
别名 (9Z,12Z)-Octadeca-9,12-Dienoic Acid Hydroxydioxymethyl Ester; (9Z,12Z)-Octadeca-9,12-Dienoic Acid Hydroxyperoxymethyl Ester; Methyl Linoleate-9,10-Ozonide
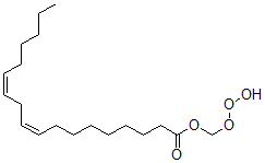
分子结构 CAS 登录号:37244-82-9, 甲基亚油酸酯臭氧化物
分子式 C19H34O5
分子量 342.47
CAS 登录号 37244-82-9
分子行输入简码 SMILES C(C(OCOOO)=O)CCCCCC\C=C/C/C=C\CCCCC
国际化学标识码 InChI 1S/C19H34O5/c1-2-3-4-5-6-7-8-9-10-11-12-13-14-15-16-17-19(20)22-18-23-24-21/h6-7,9-10,21H,2-5,8,11-18H2,1H3/b7-6-,10-9-
国际化学标识检索码 InChIKey ARDFPBHEICAOCA-HZJYTTRNSA-N
物理化学性质
密度 0.998g/cm3 (计算值)
沸点 435.646°C at 760 mmHg (计算值)
闪点 140.526°C (计算值)
市场分析报告
请浏览甲基亚油酸酯臭氧化物市场分析报告总目录
相关产品
(2R,3R,4R,5S)-6-甲基氨基己烷-1,...  5,6-二氢-2-甲基-N-苯基-1,4-氧硫杂环...  甲基环辛烷羧酸酯  十二烷基丁酸酯  硫化钾  6-氨基己酸己基酯  (1Z,3Z,6Z)-环辛四烯并-1,3,6-三烯  6-[(3R,4S,5S,7R)-7-[(2S,3...  (1,1-二甲基乙基)乙烯基-苯与苯乙烯的聚合物  二(三氟甲基)二氮烯  1,2,3,4-四甲基环己烷  6-氟己烷-1-磺酰氯  6-氟己烷-1-磺酰氟  美多芭  乙炔基雌二醇与炔诺酮的混合物