Online Database of Chemicals from Around the World

(3S,4S,5S)-3-氨基-4,5-二羟基-3-甲基己醛
[CAS# 36480-36-1]

供应商
CAS#: 36480-36-1
产品: (3S,4S,5S)-3-氨基-4,5-二羟基-3-甲基己醛
暂时没有厂家供应该产品。
基本信息
产品名称 (3S,4S,5S)-3-氨基-4,5-二羟基-3-甲基己醛
英文名 (3S,4S,5S)-3-Amino-4,5-Dihydroxy-3-Methylhexanal
别名 (3S,4S,5S)-3-Amino-4,5-Dihydroxy-3-Methyl-Hexanal; 3-Amino-2,3,6-Trideoxy-3-Methyl-L-Lyxo-Hexopyranose; L-Lyxo-Hexose, 3-Amino-2,3,6-Trideoxy-3-C-Methyl-
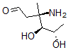
分子结构 CAS 登录号:36480-36-1, (3S,4S,5S)-3-氨基-4,5-二羟基-3-甲基己醛
分子式 C7H15NO3
分子量 161.20
CAS 登录号 36480-36-1
分子行输入简码 SMILES [C@@](CC=O)(C)([C@@H]([C@H](C)O)O)N
国际化学标识码 InChI 1S/C7H15NO3/c1-5(10)6(11)7(2,8)3-4-9/h4-6,10-11H,3,8H2,1-2H3/t5-,6+,7-/m0/s1
国际化学标识检索码 InChIKey IJSNCWAAHIVVGJ-XVMARJQXSA-N
物理化学性质
密度 1.144g/cm3 (计算值)
沸点 343.247°C at 760 mmHg (计算值)
闪点 161.39°C (计算值)
市场分析报告
请浏览(3S,4S,5S)-3-氨基-4,5-二羟基-3-甲基己醛市场分析报告总目录
相关产品
1,2,2,3,4,4,6,6,8,8,9,9,1...  (6aR,10aR)-3-己基-6,6,9-三甲基...  4,4-(1-甲基乙亚基)双酚,(氯甲基)环氧乙烷...  6-二乙基氨基己基3,4,5-三甲氧基苯甲酸酯  高血糖素(1-21)  (1R,2R)-2-(氨基甲基)环丙烷-1-羧酸  7-甲基-1,1-二氧代-3,5-二氢-2H-苯并...  十六烷基(E)-3-氨基丁-2-烯酸酯  [4-(1-氨基-4-羟基-9,10-二氧代蒽-2...  N,N-二乙基-2-氟乙酰胺  [2-[(8S,10S,11S,13S,14S,1...  [3,3-二甲基-2-(十八碳酰氨基)丁烷-2-基...  6,7-二氯-3-甲基-4H-苯并[e][1,2,...  十二烷二酸,聚合物与1,12-十二烷二胺  2-(2-甲基丙-2-烯酰氨基)乙基-戊烷-3-基...