Online Database of Chemicals from Around the World

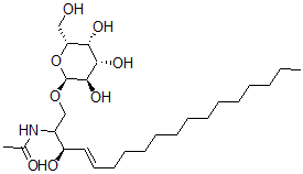
N-[(E,3R)-3-羟基-1-[(2S,3R,4S,5R,6R)-3,4,5-三羟基-6-(羟基甲基)四氢吡喃-2-基]氧基十八碳-4-烯-2-基]乙酰胺
[CAS# 35823-61-1]

供应商
CAS#: 35823-61-1
产品: N-[(E,3R)-3-羟基-1-[(2S,3R,4S,5R,6R)-3,4,5-三羟基-6-(羟基甲基)四氢吡喃-2-基]氧基十八碳-4-烯-2-基]乙酰胺
暂时没有厂家供应该产品。
基本信息
产品名称 N-[(E,3R)-3-羟基-1-[(2S,3R,4S,5R,6R)-3,4,5-三羟基-6-(羟基甲基)四氢吡喃-2-基]氧基十八碳-4-烯-2-基]乙酰胺
英文名 N-[(E,3R)-3-Hydroxy-1-[(2S,3R,4S,5R,6R)-3,4,5-Trihydroxy-6-(Hydroxymethyl)Oxan-2-Yl]Oxyoctadec-4-En-2-Yl]Acetamide
别名 N-[(E,2R)-2-Hydroxy-1-[[(2S,3R,4S,5R,6R)-3,4,5-Trihydroxy-6-(Hydroxymethyl)Tetrahydropyran-2-Yl]Oxymethyl]Heptadec-3-Enyl]Acetamide; N-[(E,2R)-2-Hydroxy-1-[[(2S,3R,4S,5R,6R)-3,4,5-Trihydroxy-6-(Hydroxymethyl)-2-Tetrahydropyranyl]Oxymethyl]Heptadec-3-Enyl]Acetamide; N-[(E,2R)-2-Hydroxy-1-[[(2S,3R,4S,5R,6R)-3,4,5-Trihydroxy-6-Methylol-Tetrahydropyran-2-Yl]Oxymethyl]Heptadec-3-Enyl]Acetamide
分子结构 CAS 登录号:35823-61-1, N-[(E,3R)-3-羟基-1-[(2S,3R,4S,5R,6R)-3,4,5-三羟基-6-(羟基甲基)四氢吡喃-2-基]氧基十八碳-4-烯-2-基]乙酰胺
分子式 C26H49NO8
分子量 503.68
CAS 登录号 35823-61-1
分子行输入简码 SMILES [C@H]1(O)[C@H](O[C@@H]([C@H](O)[C@@H]1O)CO)OCC(NC(=O)C)[C@H](O)\C=C\CCCCCCCCCCCCC
国际化学标识码 InChI 1S/C26H49NO8/c1-3-4-5-6-7-8-9-10-11-12-13-14-15-16-21(30)20(27-19(2)29)18-34-26-25(33)24(32)23(31)22(17-28)35-26/h15-16,20-26,28,30-33H,3-14,17-18H2,1-2H3,(H,27,29)/b16-15+/t20?,21-,22-,23+,24+,25-,26+/m1/s1
国际化学标识检索码 InChIKey HJFSOLRPKRHPEE-JDJMUKKDSA-N
物理化学性质
密度 1.154g/cm3 (计算值)
沸点 741.045°C at 760 mmHg (计算值)
闪点 401.97°C (计算值)
安全数据
SDS 化学品安全技术说明书参考文本
市场分析报告
请浏览N-[(E,3R)-3-羟基-1-[(2S,3R,4S,5R,6R)-3,4,5-三羟基-6-(羟基甲基)四氢吡喃-2-基]氧基十八碳-4-烯-2-基]乙酰胺市场分析报告总目录
相关产品
2-(2-二甲基氨基乙基)-3-甲基-2-丙-2-...  2-(2-二甲基氨基乙基)-3-甲基-2-丙-2-...  4-二甲基氨基-2-萘-2-基丁腈  2-(2-二甲基氨基乙基)-3-甲基-2-萘-2-...  [5-[5-(羟基甲基)-2-苯基-1,3-二氧戊...  2-(7-氨基三唑并[5,4-d]嘧啶-3-基)-...  N-(乙氧基-氟磷酰)-N-甲基甲胺  2-溴-1,3,2-苯并二氧磷杂环戊烯  [2-(甲基丙烯酰氧基)乙基]二甲基铵硝酸盐  二丁基磷酸氢酯  4-(1-金刚烷基)-2-(二甲基氨基甲基)-6-...  铵2,3-二溴丙基硫酸盐  (4-丁基苯基)4-甲氧基苯甲酸酯  6-叔丁基-1,3,5-三嗪-2,4-二胺  (2-甲基苯基)亚氨基-三(苯基)膦烷