基本信息
| 产品名称 |
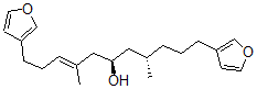
(E,6R,8S)-1,11-二(呋喃-3-基)-4,8-二甲基十一碳-3-烯-6-醇 |
| 英文名 |
(E,6R,8S)-1,11-Di(Furan-3-Yl)-4,8-Dimethylundec-3-En-6-Ol |
| 别名 |
(E,6R,8S)-1,11-Bis(3-Furyl)-4,8-Dimethyl-Undec-3-En-6-Ol; (E,6R,8S)-1,11-Bis(3-Furyl)-4,8-Dimethylundec-3-En-6-Ol; (E,6R,8S)-1,11-Di(Furan-3-Yl)-4,8-Dimethyl-Undec-3-En-6-Ol |
|
| 分子结构 |
 |
| 分子式 |
C21H30O3 |
| 分子量 |
330.47 |
| CAS 登录号 |
35075-74-2 |
| 分子行输入简码 SMILES |
[C@H](C/C(=C/CCC1=COC=C1)C)(C[C@H](CCCC2=COC=C2)C)O |
| 国际化学标识码 InChI |
1S/C21H30O3/c1-17(5-3-7-19-9-11-23-15-19)13-21(22)14-18(2)6-4-8-20-10-12-24-16-20/h5,9-12,15-16,18,21-22H,3-4,6-8,13-14H2,1-2H3/b17-5+/t18-,21-/m0/s1 |
| 国际化学标识检索码 InChIKey |
SFDYMPBPKHWFDV-MQPQBDNESA-N |
|