Online Database of Chemicals from Around the World

1,2-乙烷二基二[(1S,4aR,6S,8aR)-5,5,8A-三甲基-2-亚甲基十氢萘-1,6-二基]二乙酸酯
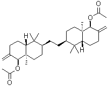
[CAS# 34434-99-6]

供应商
Alfa Chemistry 美国 询价快递  
+1 (201) 478-8534
inquiry@alfa-chemistry.com
化学品供销商(2012 年起)
chemBlink 标准供应商(2012 年起)
International Laboratory Limited 美国 询价快递  
+1 (650) 278-9963
admin@intlab.org
化学品生产商(2002 年起)
Quality Phytochemicals LLC 美国 询价快递  
+1 (908) 510-9277
sales@qualityphytochemicalsllc.com
化学品生产商
基本信息
产品名称 1,2-乙烷二基二[(1S,4aR,6S,8aR)-5,5,8A-三甲基-2-亚甲基十氢萘-1,6-二基]二乙酸酯
英文名 1,2-Ethanediylbis[(1S,4aR,6S,8aR)-5,5,8A-Trimethyl-2-Methylenedecahydronaphthalene-1,6-Diyl] Diacetate
别名 α-ONOCERINDIACETATE
分子结构 CAS 登录号:34434-99-6, 1,2-乙烷二基二[(1S,4aR,6S,8aR)-5,5,8A-三甲基-2-亚甲基十氢萘-1,6-二基]二乙酸酯
分子式 C34H54O4
分子量 526.79
CAS 登录号 34434-99-6
分子行输入简码 SMILES CC(=O)O[C@H]4CC[C@@]3(C)[C@@H](CCC(=C)[C@@H]3CC[C@H]2C(=C)CC[C@@H]1[C@]2(C)CC[C@H](OC(C)=O)[C@@]1(C)C)[C@]4(C)C
国际化学标识码 InChI 1S/C34H54O4/c1-21-11-15-27-31(5,6)29(37-23(3)35)17-19-33(27,9)25(21)13-14-26-22(2)12-16-28-32(7,8)30(38-24(4)36)18-20-34(26,28)10/h25-30H,1-2,11-20H2,3-10H3/t25-,26-,27-,28-,29-,30-,33+,34+/m0/s1
国际化学标识检索码 InChIKey JLJPBXMYIMNQDP-JKCFVQEBSA-N
物理化学性质
密度 1.033g/cm3 (计算值)
沸点 550.473°C at 760 mmHg (计算值)
闪点 258.69°C (计算值)
市场分析报告
请浏览1,2-乙烷二基二[(1S,4aR,6S,8aR)-5,5,8A-三甲基-2-亚甲基十氢萘-1,6-二基]二乙酸酯市场分析报告总目录
相关产品
(4-氟苯基)亚磷酸  3-仲-丁基-1,2-恶唑-5-胺  4-[(1Z)-3-甲基-1-三氮烯-1-基]吡啶  2-甲基-2-丙酰基环丙烷甲醛  3-乙炔基-1-甲基-3-哌啶醇  2-乙炔基-2-羟基-5-甲基环戊酮  1-烯丙基-2,3-二甲基-2-氮丙啶甲腈  2-(二甲基氨基)-3-亚甲基环丁烷甲腈  (4-甲氧基-2-嘧啶基)甲醇  2-(羟基甲基)环己烷甲醛  (2Z)-2-(羟基亚甲基)环己烷甲醛  N,N-二甲基-3-亚甲基-3,4-二氢-2H-吡...  4-氧代-5-氧杂螺[2.4]庚烷-1-甲醛  2-(1H-咪唑-1-基)-2,3-二氢-1,3-...  1-甲基-2,5,6,7-四氢-3H-吡咯里嗪-3...