Online Database of Chemicals from Around the World

(2S,3S,4R,5R)-2,4,5,6-四羟基-3-[(2R,3S,4S,5S,6R)-3,4,5-三羟基-6-(羟基甲基)四氢吡喃-2-基]氧基己醛
[CAS# 34141-02-1]

供应商
Biosynth AG. 瑞士 询价快递  
+41 (71) 858-2020
welcome@biosynth.ch
化学品生产商
Glentham Life Sciences 英国 询价快递  
+44 (2033) 978-798
info@glenthamls.com
化学品供销商(2013 年起)
International Laboratory Limited 美国 询价快递  
+1 (650) 278-9963
admin@intlab.org
化学品生产商(2002 年起)
基本信息
产品名称 (2S,3S,4R,5R)-2,4,5,6-四羟基-3-[(2R,3S,4S,5S,6R)-3,4,5-三羟基-6-(羟基甲基)四氢吡喃-2-基]氧基己醛
英文名 (2S,3S,4R,5R)-2,4,5,6-Tetrahydroxy-3-[(2R,3S,4S,5S,6R)-3,4,5-Trihydroxy-6-(Hydroxymethyl)Oxan-2-Yl]Oxyhexanal
别名 (2S,3S,4R,5R)-2,4,5,6-Tetrahydroxy-3-[(2R,3S,4S,5S,6R)-3,4,5-Trihydroxy-6-(Hydroxymethyl)Tetrahydropyran-2-Yl]Oxy-Hexanal; (2S,3S,4R,5R)-2,4,5,6-Tetrahydroxy-3-[[(2R,3S,4S,5S,6R)-3,4,5-Trihydroxy-6-(Hydroxymethyl)-2-Tetrahydropyranyl]Oxy]Hexanal; (2S,3S,4R,5R)-2,4,5,6-Tetrahydroxy-3-[(2R,3S,4S,5S,6R)-3,4,5-Trihydroxy-6-Methylol-Tetrahydropyran-2-Yl]Oxy-Hexanal
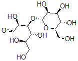
分子结构 CAS 登录号:34141-02-1, (2S,3S,4R,5R)-2,4,5,6-四羟基-3-[(2R,3S,4S,5S,6R)-3,4,5-三羟基-6-(羟基甲基)四氢吡喃-2-基]氧基己醛
分子式 C12H22O11
分子量 342.30
CAS 登录号 34141-02-1
分子行输入简码 SMILES [C@H](C=O)(O)[C@@H](O[C@@H]1[C@@H](O)[C@@H](O)[C@H](O)[C@H](O1)CO)[C@H](O)[C@H](O)CO
国际化学标识码 InChI 1S/C12H22O11/c13-1-4(16)7(18)11(5(17)2-14)23-12-10(21)9(20)8(19)6(3-15)22-12/h2,4-13,15-21H,1,3H2/t4-,5-,6-,7-,8-,9+,10+,11-,12-/m1/s1
国际化学标识检索码 InChIKey YGEHCIVVZVBCLE-VBEOFISCSA-N
物理化学性质
密度 1.688g/cm3 (计算值)
沸点 790.146°C at 760 mmHg (计算值)
闪点 294.439°C (计算值)
参考文献
(1) Hélène Freichels, Manfred Wagner, Patricia Okwieka, Ralf Georg Meyer, Volker Mailänder, Katharina Landfester and Anna Musyanovych. (Oligo)mannose functionalized hydroxyethyl starch nanocapsules: en route to drug delivery systems with targeting properties, J. Mater. Chem. B, 2013, 1, 4338.
市场分析报告
请浏览(2S,3S,4R,5R)-2,4,5,6-四羟基-3-[(2R,3S,4S,5S,6R)-3,4,5-三羟基-6-(羟基甲基)四氢吡喃-2-基]氧基己醛市场分析报告总目录
相关产品
4-[3-甲基-4-[(E)-[3-甲基-5-氧代...  6-溴-2-(4-(二乙基氨基)苯基)-1-乙基苯...  琥甲哌酯硫酸盐  (E)-庚-4-烯-2-醇  N-[(5-硝基-1H-吲哚-3-基)甲基]-N-...  N-丁基-N-[(5-硝基-1H-吲哚-3-基)甲...  5-硝基-3-(哌啶-1-基甲基)-1H-吲哚  3-(吗啉-4-基甲基)-5-硝基-1H-吲哚  3-[(4-甲基哌嗪-1-基)甲基]-5-硝基-1...  5-硝基-3-[[4-(苯基甲基)哌嗪-1-基]甲...  3-(哌啶-1-基甲基)-1H-吲哚-5-胺  3-[[4-(苯基甲基)哌嗪-1-基]甲基]-1H...  6-亚甲基二氢环氧吗啡  4-(5-硫代-1,2,4-三唑烷-3-亚基)环己...  4-(5-硫代-1,2-二氢-1,2,4-三唑-3...