Online Database of Chemicals from Around the World

十聚甘油二油酸酯
[CAS# 33940-99-7]

供应商
Alfa Chemistry 美国 询价快递  
+1 (201) 478-8534
inquiry@alfa-chemistry.com
化学品供销商(2012 年起)
chemBlink 标准供应商(2012 年起)
BOC Sciences 美国 询价快递  
+1 (631) 485-4226
info@bocsci.com
Skype 聊天
化学品供销商
chemBlink 集群供应商(2012 年起)
Chemstock, Inc. 美国 询价快递  
+1 (715) 726-1437
Evelyn@chemstock.com
化学品供销商
International Laboratory Limited 美国 询价快递  
+1 (650) 278-9963
admin@intlab.org
化学品生产商(2002 年起)
基本信息
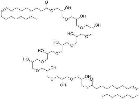
产品名称 十聚甘油二油酸酯
英文名 Dioleic Acid, Diester With Decaglycerol
分子结构 CAS 登录号:33940-99-7, 十聚甘油二油酸酯
CAS 登录号 33940-99-7
EINECS 登录号 251-750-2
市场分析报告
请浏览十聚甘油二油酸酯市场分析报告总目录
相关产品
二乙酰亚胺-D7  7-氯-咪唑并[1,2-b]哒嗪-2-羧酸  萘酚 AS-BI N-乙酰基-beta-D-氨基葡...  N,N,N'-三甲基-肼二盐酸盐  (5-甲氧基-3(2H)-苯并呋喃亚基)-乙腈  (7-甲氧基-3(2H)-苯并呋喃亚基)-乙腈  N-(3-乙基-2-喹喔啉基)-乙酰胺  苝-3,4-二甲酰亚胺  4-氯苯甲醛二甲基缩醛  四(乙酸-O)二氧代铀酸锌  1,2-二甲基-4-(1-邻甲苯基-乙基)-苯  3-脱氧-D-赤式戊糖  甲基丙烯酸钠-苯乙烯共聚物  棕榈酰天冬氨酸二乙酯  1-甲基-2-氧代-1,2-二氢-吡啶-4-羧酸