Online Database of Chemicals from Around the World

恐暗肽
[CAS# 33579-45-2]

供应商
CAS#: 33579-45-2
产品: 恐暗肽
暂时没有厂家供应该产品。
基本信息
产品名称 恐暗肽
英文名 Scotophobin
别名 Scotophobin (Rat)
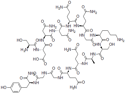
分子结构 CAS 登录号:33579-45-2, 恐暗肽
分子式 C62H97N23O26
分子量 1580.59
CAS 登录号 33579-45-2
分子行输入简码 SMILES [C@H](NC([C@@H](N)CO)=O)(CC(O)=O)C(N[C@H](C(N[C@@H](CC(=O)N)C(N[C@H](C(N[C@@H](CCC(=O)N)C(NCC(N[C@H](C(=O)N[C@H](C(N[C@H](C(N[C@@H](CCC(=O)N)C(N[C@@H](CCC(=O)N)C(NCC(NCC(N[C@@H](CC1=CC=C(C=C1)O)C(N)=O)=O)=O)=O)=O)=O)C)=O)CO)CCCCN)=O)=O)=O)CCC(N)=O)=O)=O)CC(N)=O)=O
国际化学标识码 InChI 1S/C62H97N23O26/c1-27(52(101)78-34(11-15-43(67)91)57(106)79-32(9-13-41(65)89)54(103)73-22-47(95)72-23-48(96)77-36(51(71)100)18-28-5-7-29(88)8-6-28)75-62(111)40(26-87)85-56(105)31(4-2-3-17-63)76-49(97)24-74-55(104)33(10-14-42(66)90)80-58(107)35(12-16-44(68)92)81-59(108)37(19-45(69)93)83-60(109)38(20-46(70)94)84-61(110)39(21-50(98)99)82-53(102)30(64)25-86/h5-8,27,30-40,86-88H,2-4,9-26,63-64H2,1H3,(H2,65,89)(H2,66,90)(H2,67,91)(H2,68,92)(H2,69,93)(H2,70,94)(H2,71,100)(H,72,95)(H,73,103)(H,74,104)(H,75,111)(H,76,97)(H,77,96)(H,78,101)(H,79,106)(H,80,107)(H,81,108)(H,82,102)(H,83,109)(H,84,110)(H,85,105)(H,98,99)/t27-,30-,31-,32-,33-,34-,35-,36-,37-,38-,39-,40-/m0/s1
国际化学标识检索码 InChIKey JBJPODJOGAFSNE-FMJYRCEQSA-N
物理化学性质
密度 1.433g/cm3 (计算值)
沸点 2359.5°C at 760 mmHg (计算值)
闪点 1380.8°C (计算值)
市场分析报告
请浏览恐暗肽市场分析报告总目录
相关产品
(3E,5Z)-辛-1,3,5-三烯  1-(叠氮基磺酰基氨基)-4-甲氧基苯  1-(叠氮基磺酰基氨基)丙烷  2-(叠氮基磺酰基氨基)丙烷  1-(叠氮基磺酰基氨基)-2-甲基丙烷  2,5,8-三甲基萘-1-醇  1-甲基-2-(4-甲基苯基)哌啶  1-[2-[(2-乙氧基苯氧基)甲基]吗啉-4-基...  1-棕榈酰氧基丙-2-基十六烷酸酯  4-十八烷酰基氧基丁基硬脂酸酯  2-甲基-7-(4-甲基苯基)氧杂氮杂环庚烷  2-[[2-(5-硝基呋喃-2-基)噻吩并[2,3...  (1-乙基哌啶-3-基)N-(4-氰基苯基)氨基甲...  钴啉酸  2-[(2S,4aS,8S,8aR)-8,8a-二...