Online Database of Chemicals from Around the World

1-De-L-Alanine-3alpha-Endo-L-Valine-Antamanide
[CAS# 33426-38-9]

Suppliers
CAS#: 33426-38-9
Product: 1-De-L-Alanine-3alpha-Endo-L-Valine-Antamanide
No suppilers available for the product.
Identification
Name 1-De-L-Alanine-3alpha-Endo-L-Valine-Antamanide
Synonyms Antamanide, 2-Phenylalanyl-6-Valine-; Antamanide, Phe(4)-Val(6)-; Phe(4)-Val(6)-Antamanide
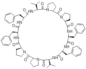
Molecular Structure CAS#: 33426-38-9, 1-De-L-Alanine-3alpha-Endo-L-Valine-Antamanide
Molecular Formula C66H82N10O10
Molecular Weight 1175.43
CAS Registry Number 33426-38-9
SMILES [C@@H]19N(C(=O)C8N(C(=O)[C@@H](NC(=O)[C@@H](NC(=O)[C@@H](NC(=O)[C@H]5N(C(=O)C4N(C(=O)[C@@H](NC(=O)[C@@H](NC(=O)[C@@H](NC1=O)CC2=CC=CC=C2)CC3=CC=CC=C3)C(C)C)CCC4)CCC5)CC6=CC=CC=C6)CC7=CC=CC=C7)C(C)C)CCC8)CCC9
InChI 1S/C66H82N10O10/c1-41(2)55-65(85)75-35-19-31-53(75)63(83)73-33-17-29-51(73)61(81)70-48(38-44-23-11-6-12-24-44)58(78)68-50(40-46-27-15-8-16-28-46)60(80)72-56(42(3)4)66(86)76-36-20-32-54(76)64(84)74-34-18-30-52(74)62(82)69-47(37-43-21-9-5-10-22-43)57(77)67-49(59(79)71-55)39-45-25-13-7-14-26-45/h5-16,21-28,41-42,47-56H,17-20,29-40H2,1-4H3,(H,67,77)(H,68,78)(H,69,82)(H,70,81)(H,71,79)(H,72,80)/t47-,48-,49-,50-,51-,52-,53?,54?,55-,56-/m0/s1
InChIKey VLSAGFHWCFSREE-AHUJSGMISA-N
Market Analysis Reports
List of Reports Available for 1-De-L-Alanine-3alpha-Endo-L-Valine-Antamanide
Related Products
(17E)-17-Methoxyimino-13-Methyl-7,8,9,11...  8-Methylsulfanyl-7H-Purine  1-Methyl-4-Pentoxybenzene  7-Fluoroheptanoic Acid  5-Fluoropentyl Acetate  1,2-Dihydro-3-Methyl-Benz[J]Aceanthrylen...  trans-1,2,11,12-Tetrahydro-3-Methylbenz(...  1,2-Dihydro-Benz(j)Aceanthrylene-3-Metha...  3-Methylcholanthren-1-One  3-Methyl-2-Cholanthrenone  3-Methylbenz[j]Aceanthrylene  4-(1,2-Dihydroxyethyl)Benzene-1,2-Diol  (6E)-4-(Benzoylamino)-5-Oxo-6-[[4-(2-Sul...  9,10-Ditritiohexadecanoic Acid  4-Hydroxy-3-(3-Methylbutyl)Naphthalene-1...