Online Database of Chemicals from Around the World

3,3',3'',3'''-(3,8,13,18-Tetramethyl-5,10,15,20,22,24-Hexahydroporphyrin-2,7,12,17-Tetrayl)Tetrapropanoic Acid
[CAS# 31110-56-2]

Suppliers
CAS#: 31110-56-2
Product: 3,3',3'',3'''-(3,8,13,18-Tetramethyl-5,10,15,20,22,24-Hexahydroporphyrin-2,7,12,17-Tetrayl)Tetrapropanoic Acid
No suppilers available for the product.
Identification
Name 3,3',3'',3'''-(3,8,13,18-Tetramethyl-5,10,15,20,22,24-Hexahydroporphyrin-2,7,12,17-Tetrayl)Tetrapropanoic Acid
Synonyms 1CP; 3,8,13,18-tetramethyl-5,10,15,20,22,24-hexahydroporphyrin-2,7,12,17-tetrapropanoic acid
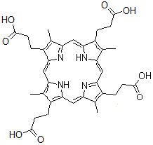
Molecular Structure CAS#: 31110-56-2, 3,3',3'',3'''-(3,8,13,18-Tetramethyl-5,10,15,20,22,24-Hexahydroporphyrin-2,7,12,17-Tetrayl)Tetrapropanoic Acid
Molecular Formula C36H44N4O8
Molecular Weight 660.76
CAS Registry Number 31110-56-2
SMILES O=C(O)CCc1c(c5nc1Cc2nc(c(c2C)CCC(=O)O)Cc3c(c(c(n3)Cc4c(c(c(n4)C5)CCC(=O)O)C)CCC(=O)O)C)C
InChI 1S/C36H44N4O8/c1-17-21(5-9-33(41)42)29-14-26-19(3)23(7-11-35(45)46)31(39-26)16-28-20(4)24(8-12-36(47)48)32(40-28)15-27-18(2)22(6-10-34(43)44)30(38-27)13-25(17)37-29/h37-40H,5-16H2,1-4H3,(H,41,42)(H,43,44)(H,45,46)(H,47,48)
InChIKey WIUGGJKHYQIGNH-UHFFFAOYSA-N
Properties
Density 1.359g/cm3 (Cal.)
Boiling point 960.999°C at 760 mmHg (Cal.)
Flash point 534.993°C (Cal.)
Market Analysis Reports
List of Reports Available for 3,3',3'',3'''-(3,8,13,18-Tetramethyl-5,10,15,20,22,24-Hexahydroporphyrin-2,7,12,17-Tetrayl)Tetrapropanoic Acid
Related Products
2-({3-Acetamido-5-[Acetyl(Methyl)Amino]-...  (4-Hydroxyphenyl)(2,3,4-Trihydroxyphenyl...  2-Methyl-2-Propylpentanoic Acid  3,6,8-Trimethylpyrimido[5,4-e][1,2,4]Tri...  (2Z)-4-(2-Cyanoethoxy)-4-Oxo-2-Butenoic ...  2,4-Dibromo-5-Hydroxybenzaldehyde  N'-(4-Chlorophenyl)-N-{4-[2-(Diisopropyl...  5,6,7-Trimethoxy-2-(4-Methoxyphenyl)-2,3...  1,3-Bis(2-Methyl-2-Propanyl)-1,3-Diazeti...  N'-{4-[2-(Diisopropylamino)Ethoxy]Phenyl...  2,8-Dimethyl-10H-Phenothiaphosphinin-10-...  5-Acetamido-N,N'-Bis(2,3-Dihydroxypropyl...  (1-13C)Vinylbenzene  1-(Ethylsulfonyl)Butane  1-(4-Nitrosophenyl)Ethanone