Online Database of Chemicals from Around the World

Isoline
[CAS# 30000-36-3]

Suppliers
CAS#: 30000-36-3
Product: Isoline
No suppilers available for the product.
Identification
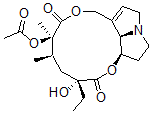
Name Isoline
Molecular Structure CAS#: 30000-36-3, Isoline
Molecular Formula C20H29NO7
Molecular Weight 395.45
CAS Registry Number 30000-36-3
SMILES [C@@]3(C(OCC1=CCN2[C@H]1[C@@H](CC2)OC([C@@](C[C@H]3C)(O)CC)=O)=O)(OC(=O)C)C
InChI 1S/C20H29NO7/c1-5-20(25)10-12(2)19(4,28-13(3)22)17(23)26-11-14-6-8-21-9-7-15(16(14)21)27-18(20)24/h6,12,15-16,25H,5,7-11H2,1-4H3/t12-,15-,16-,19+,20-/m1/s1
InChIKey IYLGZMTXKJYONK-ACLXAEORSA-N
Properties
Density 1.277g/cm3 (Cal.)
Boiling point 584.137°C at 760 mmHg (Cal.)
Flash point 307.075°C (Cal.)
Market Analysis Reports
List of Reports Available for Isoline
Related Products
6-Methylsulfanyl-3H-Pyrimidin-4-One  Disodium 2-Oxobutanedioate  Primycin sulfate  1-Methyl-2,3,4,9-Tetrahydro-1H-Pyrido[3,...  [(8R,9S,10R,13S,14S,17R)-3-Cyclopentylox...  Erythromycin L-aspartate  2,3-Bis(4-Methoxyphenyl)-5-Methyl-1H-Pyr...  N,N-Dimethyl-3-Phenylprop-2-Yn-1-Amine H...  8-[(3R,4S,5R)-3,4-Dihydroxy-5-(Hydroxyme...  6-Amino-9-[3,4-Dihydroxy-5-(Hydroxymethy...  4,5-Dihydroxy-1,3-Bis(Methoxymethyl)Imid...  (3-Chloro-2-Hydroxypropyl)-Dimethyl-Octa...  2-Sulfanylpropan-1-Ol  2-(1-Hydroxypropan-2-Ylsulfanyl)Propan-1...  3,9-Dimethyl-2,4,8,10-Tetraoxa-3,9-Dipho...