Online Database of Chemicals from Around the World

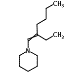
1-(2-Ethyl-1-Hexen-1-Yl)Piperidine
[CAS# 29371-09-3]

Suppliers
CAS#: 29371-09-3
Product: 1-(2-Ethyl-1-Hexen-1-Yl)Piperidine
No suppilers available for the product.
Identification
Name 1-(2-Ethyl-1-Hexen-1-Yl)Piperidine
Synonyms 1-(2-ETHYL-1-HEXENYL)-PIPERIDINE
Molecular Structure CAS#: 29371-09-3, 1-(2-Ethyl-1-Hexen-1-Yl)Piperidine
Molecular Formula C13H25N
Molecular Weight 195.34
CAS Registry Number 29371-09-3
SMILES CCCCC(=CN1CCCCC1)CC
InChI 1S/C13H25N/c1-3-5-9-13(4-2)12-14-10-7-6-8-11-14/h12H,3-11H2,1-2H3
InChIKey YFPBPWNEJXCYMK-UHFFFAOYSA-N
Properties
Density 0.905g/cm3 (Cal.)
Boiling point 280.396°C at 760 mmHg (Cal.)
Flash point 112.765°C (Cal.)
Refractive index 1.518 (Cal.)
Market Analysis Reports
List of Reports Available for 1-(2-Ethyl-1-Hexen-1-Yl)Piperidine
Related Products
4-Methyl-N-(1H-1,2,3-Triazol-1-Yl)Benzen...  1,5-Bis(4-Methoxyphenyl)-2,4-Pentadiyn-1...  6-Ethoxy-2-Naphthalenamine  Methyl (3S)-7-Amino-1,2,3,4-Tetrahydro-3...  Methyl (2R)-2-Indolinecarboxylate  3-(5,7-Dimethyl-1,3-Benzoxazol-2-Yl)Anil...  2-(2-Chlorophenyl)-1,3-Benzoxazol-5-Amin...  2-(3-Bromophenyl)-1,3-Benzoxazol-5-Amine  2-(2,4-Dichlorophenyl)-1,3-Benzoxazol-5-...  2-(2,5-Dichlorophenyl)-1,3-Benzoxazol-5-...  2-(3,4-Dichlorophenyl)-1,3-Benzoxazol-5-...  2-(5-Bromo-2-Chlorophenyl)-1,3-Benzoxazo...  2-(3-Chloro-4-Methoxyphenyl)-1,3-Benzoxa...  2-(3-Bromo-4-Methoxyphenyl)-1,3-Benzoxaz...  1-Isobutyl-4-Nitrosobenzene